【药物名称】L-778123
化学结构式(Chemical Structure):
参考文献No.31192
标题:Inhibitors of farnesyl-protein transferase
作者:Anthony, N.J.; Ciccarone, T.M.; Gomez, R.P.; Hutchinson, J.H.; Williams, T.M.; Dinsmore, C.J.; Stokker, G.E. (Merck & Co., Inc.)
来源:EP 0820445; JP 1998511098; US 5856326; WO 9630343
合成路线图解说明:

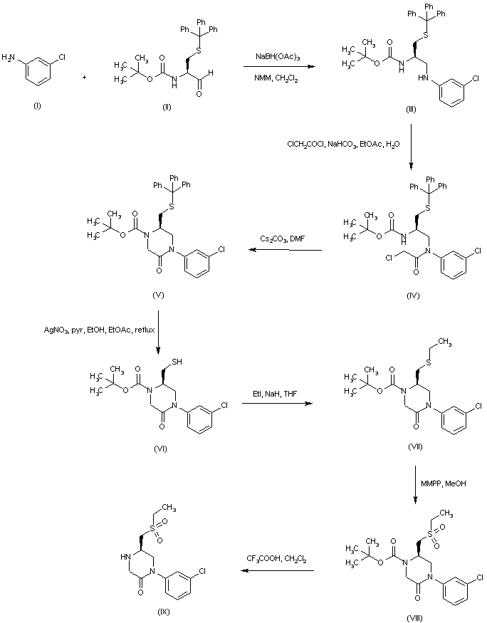
The reductive alkylation of 3-chloroaniline (I) with L-S-trityl-N-Boc-cysteinal (II) in the presence of sodium triacetoxyborohydride produced amine (III). Chloroacetylation of (III) followed by cesium carbonate-induced cyclization of the resulting chloroacetamide (IV) furnished the protected piperazinone (V). The S-trityl group of (V) was deprotected by treatment with silver nitrate and pyridine, yielding thiol (VI), which was subsequently alkylated with ethyl iodide to give thioether (VII). Sulfur oxidation by means of magnesium monoperoxyphthalate in methanol afforded sulfone (VIII). Then, acid deprotection of the Boc protecting group of (VIII) provided the intermediate piperazinone (IX).

合成路线图解说明:

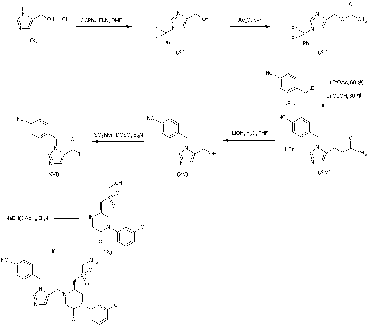
The regioselective protection of 4-hydroxymethylimidazole (X) with trityl chloride gave the 1-trityl imidazole (XI), which was further acetylated to afford acetate (XII). Alkylation of imidazole (XII) with 4-cyanobenzyl bromide (XIII), followed by solvolysis of the resulting imidazolium salt in refluxing methanol, produced the cyanobenzyl imidazole (XIV). Acetate hydrolysis and subsequent oxidation of alcohol (XV) furnished aldehyde (XVI). The title compound was obtained by reductive alkylation of piperazinone (IX) with aldehyde (XVI) in the presence of sodium triacetoxyborohydride.

合成路线图解说明:

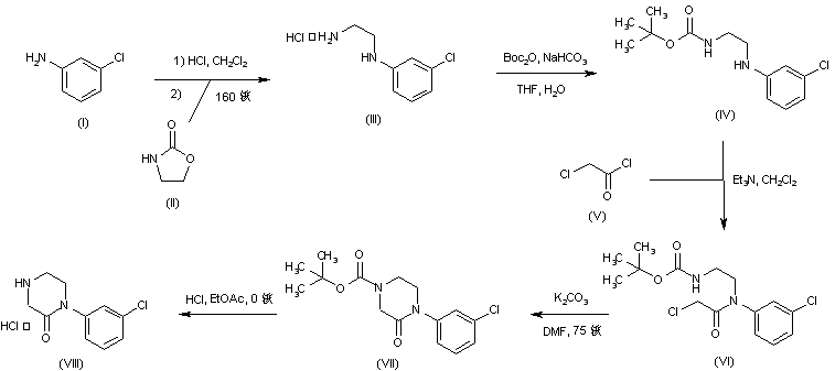
The synthesis of the intermediate (chlorophenyl)piperazinone (VIII) has been reported by two procedures. The hydrochloride salt prepared from 3-chloroaniline (I) was treated with 2-oxazolidinone (II) at 160 C to produce the aryl ethylenediamine (III), which was subsequently protected as the N-Boc derivative (IV). Acylation of aniline (IV) with chloroacetyl chloride (V) gave the chloroacetamide (VI). This was then cyclized to the piperazinone (VII) by treatment with K2CO3 in hot DMF. Further acid deprotection of the Boc group of (VII) afforded the intermediate (VIII).

合成路线图解说明:

Protection of 4-(hydroxymethyl)imidazole (XII) with chlorotriphenylmethane provided the 1-tritylimidazole (XIII). Acetylation of (XIII) with acetic anhydride in pyridine gave acetate ester (XIV). The imidazole ring of (XIV) was then alkylated with alpha-bromo-p-tolunitrile (XV) to yield the imidazolium salt (XVI), from which the N-trityl group was removed upon heating with MeOH. The resulting acetoxymethyl imidazole (XVII) was then hydrolyzed to alcohol (XVIII) using LiOH, and further Swern oxidation of (XVIII) furnished aldehyde (XIX). Finally, reductive condensation of aldehyde (XIX) with piperazinone (VIII) in the presence of sodium triacetoxyborohydride produced the title compound.

参考文献No.38630
标题:Inhibitors of prenyl-protein transferase
作者:Williams, T.M.; Dinsmore, C.J.; Hutchinson, J.H. (Merck & Co., Inc.)
来源:EP 1014984; WO 9909985
合成路线图解说明:

The synthesis of the intermediate (chlorophenyl)piperazinone (VIII) has been reported by two procedures. The hydrochloride salt prepared from 3-chloroaniline (I) was treated with 2-oxazolidinone (II) at 160 C to produce the aryl ethylenediamine (III), which was subsequently protected as the N-Boc derivative (IV). Acylation of aniline (IV) with chloroacetyl chloride (V) gave the chloroacetamide (VI). This was then cyclized to the piperazinone (VII) by treatment with K2CO3 in hot DMF. Further acid deprotection of the Boc group of (VII) afforded the intermediate (VIII).

合成路线图解说明:

Protection of 4-(hydroxymethyl)imidazole (XII) with chlorotriphenylmethane provided the 1-tritylimidazole (XIII). Acetylation of (XIII) with acetic anhydride in pyridine gave acetate ester (XIV). The imidazole ring of (XIV) was then alkylated with alpha-bromo-p-tolunitrile (XV) to yield the imidazolium salt (XVI), from which the N-trityl group was removed upon heating with MeOH. The resulting acetoxymethyl imidazole (XVII) was then hydrolyzed to alcohol (XVIII) using LiOH, and further Swern oxidation of (XVIII) furnished aldehyde (XIX). Finally, reductive condensation of aldehyde (XIX) with piperazinone (VIII) in the presence of sodium triacetoxyborohydride produced the title compound.

参考文献No.41807
标题:Process for making farnesyl-protein transferase inhibitors
作者:Cowen, J.A.; Askin, D.; McWilliams, J.C.; Maligres, P.E.; McCauley, J.A. (Merck & Co., Inc.)
来源:WO 0001691
合成路线图解说明:

In an alternative procedure, 3-chloroaniline (I) was acylated with chloroacetyl chloride (V) to produce chloroacetamide (IX). Displacement of the chloride group of (IX) with ethanolamine (X) gave rise to the amide alcohol (XI), which was then cyclized to the piperazinone (VIII) under Mitsunobu conditions.

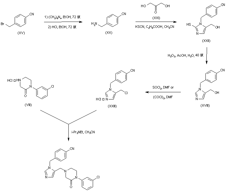
合成路线图解说明:

In a further procedure, bromide (XV) was reacted with hexamethylenetetramine in refluxing EtOH followed by acid hydrolysis to produce the benzyl amine (XX). Mercapto imidazole (XXII) was then obtained by condensation of amine (XX) with dihydroxyacetone (XXI) and KSCN. Subsequent oxidative desulfuration gave the hydroxymethyl imidazole (XVIII). This was converted to the corresponding chloride (XXIII) by treatment with either SOCl2 in DMF or the Vilsmeier reagent. Finally, chloride (XXIII) was condensed with piperazinone (VIII) in the presence of diisopropylethylamine.

Drug Information Express,Drug R&D,Chemical Database,Patent Search.
Copyright © 2006-2026 Drug Future. All rights reserved.Contact Us