【药物名称】MS-31-050
化学结构式(Chemical Structure):
参考文献No.30705
标题:Quinoline-4-carbonylguanidine derivates, process for producing the same and pharmaceutical compsns. containing the cpds.
作者:Fujiwara, J.; Mori, H.; Yamashita, H.; Kitamori, T.; Hosoya, J.; Banno, H. (Mitsui Chemicals, Inc.)
来源:EP 0726254; JP 1996277269; US 5627193
合成路线图解说明:

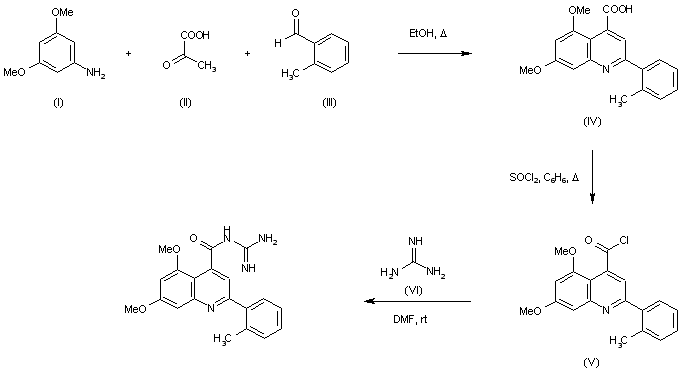
Quinoline (IV) was prepared by condensation of 3,5-dimethoxyaniline (I), pyruvic acid (II) and o-tolualdehyde (III) in refluxing EtOH. After activation of (IV) as the acid chloride (V) by means of SOCl2 in benzene, its condensation with guanidine (VI) in DMF yielded the corresponding acyl guanidine.

合成路线图解说明:

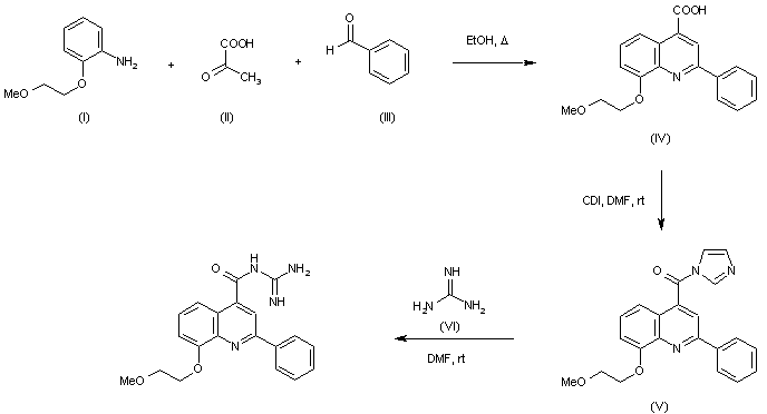
Quinoline (IV) was prepared by condensation of 2-(2-methoxyethyl)aniline (I), pyruvic acid (II) and benzaldehyde (III) in refluxing EtOH. After activation of (IV) as the imidazolide (V) by means of 1,1'-carbonyldiimidazole in DMF, its condensation with guanidine (VI) in the same solvent yielded the corresponding acyl guanidine.

Drug Information Express,Drug R&D,Chemical Database,Patent Search.
Copyright © 2006-2026 Drug Future. All rights reserved.Contact Us