【药物名称】Daglutril, SLV-306
化学结构式(Chemical Structure):
参考文献No.31167
标题:Benzazepin-, benzoxazepin- and benzothiazepin-N-acetic acid-derivs., their preparation and their pharmaceutical compsns.
作者:Waldeck, H.; H鰈tje, D.; Messinger, J.; Antel, J.; Wurl, M.; Thorm鋒len, D. (Kali-Chemie AG)
来源:CA 2172354; EP 0733642; JP 1996269011; US 5677297
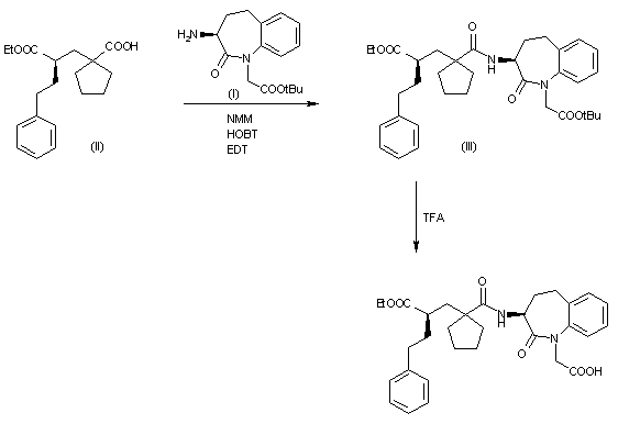
合成路线图解说明:

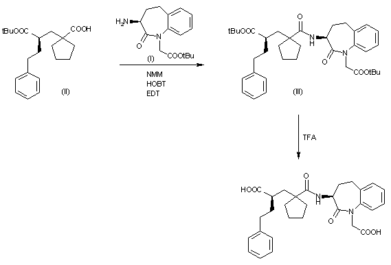
1) The acylation of the chiral amine (I) with the chiral cyclopentanecarboxylic aid (II) by means of N-methylmorphline (NMM), hydroxybenzotriazole (HOBT) and N-(dimethylaminopropyl)-N'-ethylcarbodiimide (EDT) in dichloromethane gives the amide (III), which is then treated with trifluoroacetic acid to elimnate the tert-butyl ester groups.

合成路线图解说明:

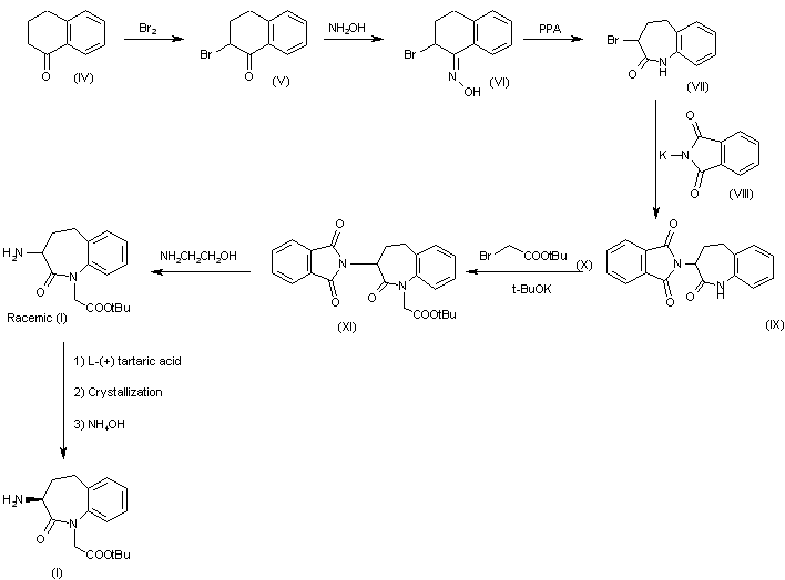
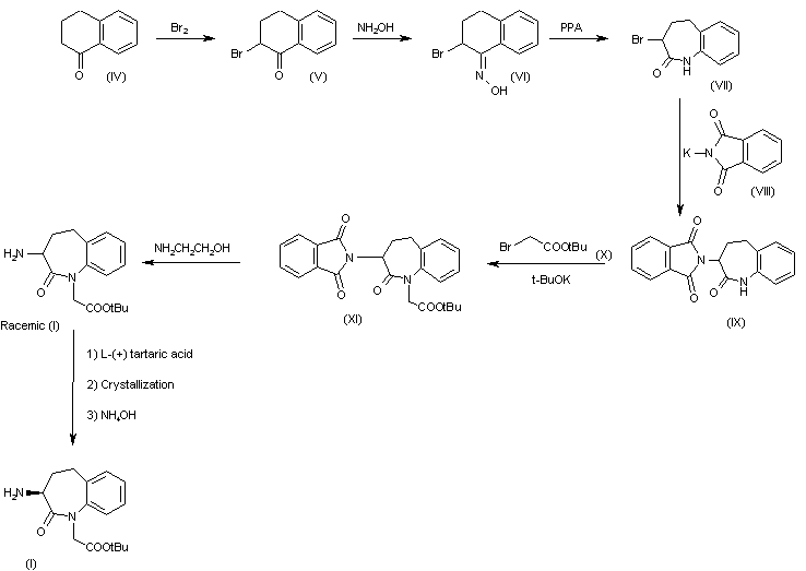
2) The chiral intermediates the amine (I) and the acid (II) have been obtained as follows: 2a) The bromination of 1-tetralone (IV) with Br2 in methanol gives the 2-bromotetralone (V), which is treated with hydroxylamine yielding the corresponding oximae (VI). The isomerization of (V) with polyphosphoric acid (PPA) at 80 C affords the benzazepinone (VII), which is treated with potassium phthalimide (VIII) in DMF to give the corresponding phthalimido derivative (IX). The reaction of (IX) with tert-butyl bromoacetate (X) by means of potassium tert-butoxide in DMF yields the benzazepinoacetic ester (XI), which is treated with hot ethanolamine to eliminate the phthalimido group yielding racemic (I). Finally, this racemate is submitted to optical resolution with L-(+)-tartaric acid to afford the chiral (S)-intermediate (I).

合成路线图解说明:

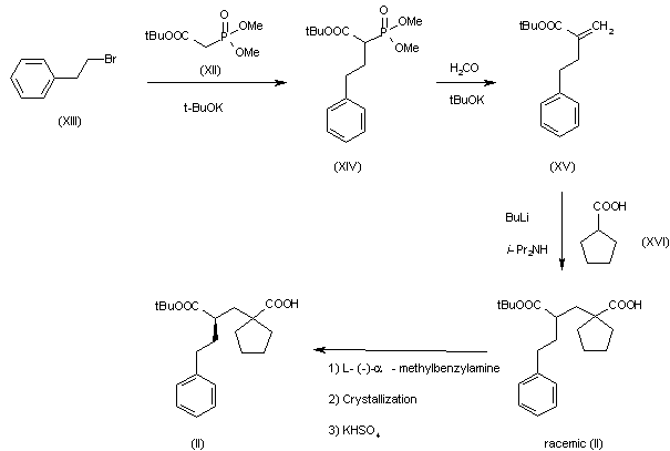
2b) The alkylation of 2-(dimethoxyphosphoryl)acetic acid tert-butyl ester (XII) with 2-phenylethyl bromide (XIII) by means of potassium tert-butoxide in DMF gives 2-(dimethoxyphosphoryl)-4-phenylbutyric acid tert-butyl ester (XIV), which is allowed to react with formaldehyde/potasium tert-butoxide in THF to afford the tert-butyl acrylate (XV). The condensation of (XV) with cyclopentanecarboxylic acid (XVI) by means of butyllithium/diisopropylamine in THF affords racemic (II), which is finally submitted to optical resolution with L-(-)-alpha-methylbenzylamine to afford the chiral (R)-intermediate (II).

合成路线图解说明:

1) The acylation of the chiral amine (I) with the chiral cyclopentanecarboxylic aid (II) by means of N-methylmorphline (NMM), hydroxybenzotriazole (HOBT) and N-(dimethylaminopropyl)-N'-ethylcarbodiimide (EDT) in dichloromethane gives the amide (III), which is then treated with trifluoroacetic aid to elimnate the tert-butyl ester group.

合成路线图解说明:

2a) The chiral intermediate amine (I) has been obtained as follows: The bromination of 1-tetralone (IV) with Br2 in methanol gives the 2-bromotetralone (V), which is treated with hydroxylamine yielding the corresponding oximae (VI). The isomerization of (V) with polyphosphoric acid (PPA) at 80 C affords the benzazepinone (VII), which is treated with potassium phthalimide (VIII) in DMF to give the corresponding phthalimido derivative (IX). The reaction of (IX) with tert-butyl bromoacetate (X) by means of potassium tert-butoxide in DMF yields the benzazepinoacetic ester (XI), which is treated with hot ethanolamine to eliminate the phthalimido group yielding racemic (I). Finally, this racemate is submitted to optical resolution with L-(+)-tartaric acid to afford the chiral (S)-intermediate (I).

合成路线图解说明:

2b) The chiral intermediate acid (II) has been obtained as follows: The alkylation of diethyl malonate (XII) with 2-phenylethyl bromide (XIII) by means of potassium tert-butoxide in DMF gives diethyl 2-(2-phenylethyl)malonate (XIV), which is treated with KOH in ice-cooled water to afford the corresponding monoester monoacid (XV). The reacction of (XV) with formaldehyde in piperidine/water gives teh acrylate (XVI), which is condensed with cyclopentanecarboxylic acid (XVII) by meansof butyllithium/diisopropylamine in THF to afford racemic (II). Finally, this racemate is submitted to optical resolution with L-(-)-alpha-methylbenzylamine to afford the chiral (R)-intermediate (II).

参考文献No.35795
标题:Drugs for increasing gastrointestinal blood supply
作者:Rozsa, S.; Gy Papp, J.; Thorm鋒len, D.; Waldeck, H. (Solvay SA)
来源:DE 19638020; EP 0830863; JP 1998101565
合成路线图解说明:

1) The acylation of the chiral amine (I) with the chiral cyclopentanecarboxylic aid (II) by means of N-methylmorphline (NMM), hydroxybenzotriazole (HOBT) and N-(dimethylaminopropyl)-N'-ethylcarbodiimide (EDT) in dichloromethane gives the amide (III), which is then treated with trifluoroacetic acid to elimnate the tert-butyl ester groups.

合成路线图解说明:

2) The chiral intermediates the amine (I) and the acid (II) have been obtained as follows: 2a) The bromination of 1-tetralone (IV) with Br2 in methanol gives the 2-bromotetralone (V), which is treated with hydroxylamine yielding the corresponding oximae (VI). The isomerization of (V) with polyphosphoric acid (PPA) at 80 C affords the benzazepinone (VII), which is treated with potassium phthalimide (VIII) in DMF to give the corresponding phthalimido derivative (IX). The reaction of (IX) with tert-butyl bromoacetate (X) by means of potassium tert-butoxide in DMF yields the benzazepinoacetic ester (XI), which is treated with hot ethanolamine to eliminate the phthalimido group yielding racemic (I). Finally, this racemate is submitted to optical resolution with L-(+)-tartaric acid to afford the chiral (S)-intermediate (I).

合成路线图解说明:

2b) The alkylation of 2-(dimethoxyphosphoryl)acetic acid tert-butyl ester (XII) with 2-phenylethyl bromide (XIII) by means of potassium tert-butoxide in DMF gives 2-(dimethoxyphosphoryl)-4-phenylbutyric acid tert-butyl ester (XIV), which is allowed to react with formaldehyde/potasium tert-butoxide in THF to afford the tert-butyl acrylate (XV). The condensation of (XV) with cyclopentanecarboxylic acid (XVI) by means of butyllithium/diisopropylamine in THF affords racemic (II), which is finally submitted to optical resolution with L-(-)-alpha-methylbenzylamine to afford the chiral (R)-intermediate (II).

合成路线图解说明:

1) The acylation of the chiral amine (I) with the chiral cyclopentanecarboxylic aid (II) by means of N-methylmorphline (NMM), hydroxybenzotriazole (HOBT) and N-(dimethylaminopropyl)-N'-ethylcarbodiimide (EDT) in dichloromethane gives the amide (III), which is then treated with trifluoroacetic aid to elimnate the tert-butyl ester group.

合成路线图解说明:

2a) The chiral intermediate amine (I) has been obtained as follows: The bromination of 1-tetralone (IV) with Br2 in methanol gives the 2-bromotetralone (V), which is treated with hydroxylamine yielding the corresponding oximae (VI). The isomerization of (V) with polyphosphoric acid (PPA) at 80 C affords the benzazepinone (VII), which is treated with potassium phthalimide (VIII) in DMF to give the corresponding phthalimido derivative (IX). The reaction of (IX) with tert-butyl bromoacetate (X) by means of potassium tert-butoxide in DMF yields the benzazepinoacetic ester (XI), which is treated with hot ethanolamine to eliminate the phthalimido group yielding racemic (I). Finally, this racemate is submitted to optical resolution with L-(+)-tartaric acid to afford the chiral (S)-intermediate (I).

合成路线图解说明:

2b) The chiral intermediate acid (II) has been obtained as follows: The alkylation of diethyl malonate (XII) with 2-phenylethyl bromide (XIII) by means of potassium tert-butoxide in DMF gives diethyl 2-(2-phenylethyl)malonate (XIV), which is treated with KOH in ice-cooled water to afford the corresponding monoester monoacid (XV). The reacction of (XV) with formaldehyde in piperidine/water gives teh acrylate (XVI), which is condensed with cyclopentanecarboxylic acid (XVII) by meansof butyllithium/diisopropylamine in THF to afford racemic (II). Finally, this racemate is submitted to optical resolution with L-(-)-alpha-methylbenzylamine to afford the chiral (R)-intermediate (II).

参考文献No.651750
标题:SLV-306
作者:Sorbera, L.A.; Leeson, P.A.; Casta馿r, J.
来源:Drugs Fut 2002,27(1),27
合成路线图解说明:

1) The acylation of the chiral amine (I) with the chiral cyclopentanecarboxylic aid (II) by means of N-methylmorphline (NMM), hydroxybenzotriazole (HOBT) and N-(dimethylaminopropyl)-N'-ethylcarbodiimide (EDT) in dichloromethane gives the amide (III), which is then treated with trifluoroacetic aid to elimnate the tert-butyl ester group.

合成路线图解说明:

2a) The chiral intermediate amine (I) has been obtained as follows: The bromination of 1-tetralone (IV) with Br2 in methanol gives the 2-bromotetralone (V), which is treated with hydroxylamine yielding the corresponding oximae (VI). The isomerization of (V) with polyphosphoric acid (PPA) at 80 C affords the benzazepinone (VII), which is treated with potassium phthalimide (VIII) in DMF to give the corresponding phthalimido derivative (IX). The reaction of (IX) with tert-butyl bromoacetate (X) by means of potassium tert-butoxide in DMF yields the benzazepinoacetic ester (XI), which is treated with hot ethanolamine to eliminate the phthalimido group yielding racemic (I). Finally, this racemate is submitted to optical resolution with L-(+)-tartaric acid to afford the chiral (S)-intermediate (I).

合成路线图解说明:

2b) The chiral intermediate acid (II) has been obtained as follows: The alkylation of diethyl malonate (XII) with 2-phenylethyl bromide (XIII) by means of potassium tert-butoxide in DMF gives diethyl 2-(2-phenylethyl)malonate (XIV), which is treated with KOH in ice-cooled water to afford the corresponding monoester monoacid (XV). The reacction of (XV) with formaldehyde in piperidine/water gives teh acrylate (XVI), which is condensed with cyclopentanecarboxylic acid (XVII) by meansof butyllithium/diisopropylamine in THF to afford racemic (II). Finally, this racemate is submitted to optical resolution with L-(-)-alpha-methylbenzylamine to afford the chiral (R)-intermediate (II).

Drug Information Express,Drug R&D,Chemical Database,Patent Search.
Copyright © 2006-2026 Drug Future. All rights reserved.Contact Us