【药物名称】NM-3
化学结构式(Chemical Structure):
参考文献No.35316
标题:Isocoumarin derivs. and use thereof in drugs
作者:Hirano, S.; Mase, T.; Agata, N.; Iguchi, H.; Matsumoto, N.; Yoshioka, T.; Tone, H.; Kumagai, H.; Ishizuka, M.; Tkeuchi, T. (Mercian Corp.)
来源:EP 0930310; US 6020363; WO 9748693
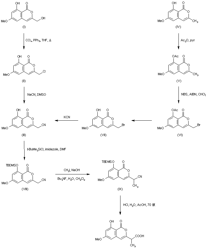
合成路线图解说明:

Chlorination of cytogenin (I) using carbon tetrachloride and triphenylphosphine provided chloride (II). Subsequent displacement of the halogen atom of (II) by NaCN afforded nitrile (III). In an alternative procedure, the isocoumarin (IV) was protected as the acetate ester (V) and then brominated to (VI) employing N-bromosuccinimide. After deprotection of the acetate ester of (VI), displacement by KCN yielded nitrile (III). The hydroxyl group of (III) was then silylated by means of tert-butyldimethylsilyl chloride and imidazole to give (VIII). Subsequent alkylation of (VIII) with methyl iodide under phase-transfer conditions furnished the alpha-methyl nitrile (IX). Finally, acid hydrolysis of the nitrile group of (IX) with concomitant desilylation provided the title compound.

Drug Information Express,Drug R&D,Chemical Database,Patent Search.
Copyright © 2006-2026 Drug Future. All rights reserved.Contact Us