【药物名称】
化学结构式(Chemical Structure):
参考文献No.534882
标题:4-N-Linked-heterocyclic piperidine derivatives with high affinity and selectivity for human dopamine D4 receptors
作者:Moore, K.W.; Bonner, K.; Jones, E.A.; Emms, F.; Leeson, P.D.; Marwood, R.; Patel, S.; Rowley, M.; Thomas, S.; Carling, R.W.
来源:Bioorg Med Chem Lett 1999,9(9),1285
合成路线图解说明:

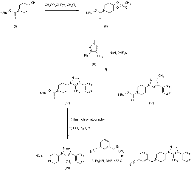
N-Boc-4-Hydroxypiperidine (I) was converted to the mesylate (II) with methanesulfonyl chloride and pyridine. Then, alkylation of 3-methyl-4-phenylpyrazole (III) with (II) in the presence of NaH yielded a mixture of regioisomeric pyrazoles (IV) and (V), which were separated using flash chromatography. The required isomer (IV) was subsequently treated with HCl in Et2O to remove the Boc protecting group. The resulting piperidine (VI) was finally alkylated with 3-(bromomethyl)benzonitrile (VII) to afford the title compound.

Drug Information Express,Drug R&D,Chemical Database,Patent Search.
Copyright © 2006-2026 Drug Future. All rights reserved.Contact Us