【药物名称】Gantofiban, YM-028, EMD-122-347
化学结构式(Chemical Structure):
参考文献No.31603
标题:Adhesion receptor antagonists
作者:Gante, J.; Juraszyk, H.; Raddatz, P.; Wurziger, H.; Bernotat-Danielowski, S.; Melzer, G. (Merck Patent GmbH)
来源:CA 2175767; DE 19516483; EP 0741133; JP 1996301857; US 6455529
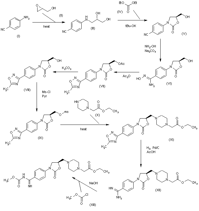
合成路线图解说明:

The condensation of 4-aminobenzonitrile (I) with the chiral 2,3-epoxypropanol (II) in refluxing methanol gives 4-(2,3-dihydroxypropylamino)benzonitrile (III), which is cyclized with diethyl carbonate (IV) by means of tBu-OK at 100 C to yield the oxazolidinone (V). The reaction of the cyano group of (V) with hydroxylamine in methanol affords the N-hydroxyamidine (VI), which is cyclized with Ac2O at 120 C to provide the 1,2,4-oxadiazole (VII). The hydrolysis of the acetoxy group of (VII) with K2CO3 in refluxing methanol gives the primary alcohol (VIII), which is treated with Ms-Cl and pyridine to yield the corresponding mesylate (IX). The condensation of (IX) with 2-(1-piperazinyl)acetic acid ethyl ester (X) in refluxing acetonitrile affords the adduct (XI), which is hydrogenated with H2 over Pd/C and hydrolyzed with HOAc to obtain the benzamidine derivative (XII). Finally, this compound is acylated with methyl chloroformate (XIII) and NaOH in dichloromethane/water.

参考文献No.389853
标题:New antithrombotic RGD-mimetics with bioavailability
作者:Gante, J.; et al.
来源:Bioorg Med Chem Lett 1996,6(20),2425
合成路线图解说明:

The condensation of 4-aminobenzonitrile (I) with the chiral 2,3-epoxypropanol (II) in refluxing methanol gives 4-(2,3-dihydroxypropylamino)benzonitrile (III), which is cyclized with diethyl carbonate (IV) by means of tBu-OK at 100 C to yield the oxazolidinone (V). The reaction of the cyano group of (V) with hydroxylamine in methanol affords the N-hydroxyamidine (VI), which is cyclized with Ac2O at 120 C to provide the 1,2,4-oxadiazole (VII). The hydrolysis of the acetoxy group of (VII) with K2CO3 in refluxing methanol gives the primary alcohol (VIII), which is treated with Ms-Cl and pyridine to yield the corresponding mesylate (IX). The condensation of (IX) with 2-(1-piperazinyl)acetic acid ethyl ester (X) in refluxing acetonitrile affords the adduct (XI), which is hydrogenated with H2 over Pd/C and hydrolyzed with HOAc to obtain the benzamidine derivative (XII). Finally, this compound is acylated with methyl chloroformate (XIII) and NaOH in dichloromethane/water.

Drug Information Express,Drug R&D,Chemical Database,Patent Search.
Copyright © 2006-2026 Drug Future. All rights reserved.Contact Us