【药物名称】RPR-101511A
化学结构式(Chemical Structure):
参考文献No.40928
标题:Bis mono- and bicyclic aryl and heteroaryl cpds. which inhibit EGF and/or PDGF receptor tyrosine kinase
作者:Myers, M.R.; Maguirre, M.P.; Spada, A.P.; Persons, P.E. (Aventis Pharmaceuticals, Inc.)
来源:US 5480883
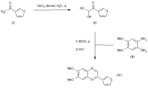
合成路线图解说明:

Oxidation of 3-acetylthiophene (I) with selenium dioxide in refluxing dioxan provided 3-thienylglyoxaldehyde hydrate (II). This was then condensed with 4,5-dimethoxy-1,2-phenylenediamine (III) in boiling EtOH to produce the target quinoxaline, which was finally isolated as the hydrochloride salt.

Drug Information Express,Drug R&D,Chemical Database,Patent Search.
Copyright © 2006-2026 Drug Future. All rights reserved.Contact Us