【药物名称】SB-228357
化学结构式(Chemical Structure):
参考文献No.30720
标题:Indole derivs. as 5-HT receptor antagonist
作者:Gaster, L.M.; Wyman, P.A.; Mulholland, K.R.; Davies, D.T.; Duckworth, D.M.; Forbes, I.T.; Jones, G.E. (SmithKline Beecham plc)
来源:EP 0808312; JP 1998513442; US 5990133; WO 9623783
合成路线图解说明:

Reaction between 1-methoxy-4-nitro-2-trifluoromethylbenzene (I) and 4-chlorophenoxyacetonitrile (II) in the presence of potassium tert-butoxide produced aryl acetonitrile (III). Catalytic hydrogenation of (III) gave rise to indole (IV), which was further reduced to indoline (V) employing sodium cyanoborohydride and AcOH.

合成路线图解说明:

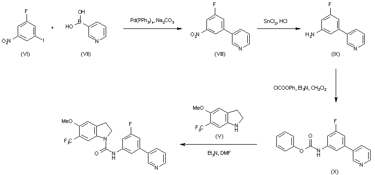
3-Fluoro-5-(3-pyridyl)aniline (IX) was prepared by palladium coupling of 3-fluoro-5-iodonitrobenzene (VI) and 3-pyridylboronic acid (VII), followed by reduction of the resultant nitro derivative (VIII) using stannous chloride in aqueous HCl (3). Treatment of aniline (IX) with phenyl chloroformate in the presence of triethylamine gave rise to carbamate (X). This was then coupled with indoline (V) to furnish the title amide.

参考文献No.35664
标题:Pharmaceutical compsn. containing a 5HT2C antagonist and a D2 antagonist
作者:Blackburn, T.P. (SmithKline Beecham plc)
来源:WO 9804289
合成路线图解说明:

Reaction between 1-methoxy-4-nitro-2-trifluoromethylbenzene (I) and 4-chlorophenoxyacetonitrile (II) in the presence of potassium tert-butoxide produced aryl acetonitrile (III). Catalytic hydrogenation of (III) gave rise to indole (IV), which was further reduced to indoline (V) employing sodium cyanoborohydride and AcOH.

合成路线图解说明:

Treatment of 1-methoxy-4-nitro-2-(trifluoromethyl)benzene (I) with 4-chlorophenoxyacetonitrile (II) in the presence of potassium tert-butoxide afforded the arylacetonitrile (III). Reductive cyclization of (III) upon treatment with H2 and Pd/C produced indole (IV), which was further reduced to indoline (V) with NaBH3CN and AcOH. Methyl ether cleavage in (V) using ISiMe3 yielded phenol (VI). After protection of the amino group of (VI) as the acetamide (VII), sulfonylation at the phenol group with trifluoromethanesulfonic anhydride and pyridine gave triflate (VIII). The triflate group was then displaced with tetramethyltin in the presence of palladium catalyst to furnish, after hydrolysis of the acetamide, the 5-methyl-6-(trifluoromethyl)indoline (IX).

合成路线图解说明:

Coupling of 3-hydroxypyridine (X) with 2-chloropyridine (XI) afforded the corresponding dipyridyl ether (XII). After reduction of the nitro group of (XII) with SnCl2, the resulting aminopyridine (XIII) was treated with phenyl chloroformate to give the phenyl carbamate (XIV). Finally, condensation of carbamate (XIV) with indoline (IX) produced the title carboxamide.

参考文献No.570191
标题:Biarylcarbamoylindolines are novel and selective 5-HT2C receptor inverse agonists: Identification of 5-methyl-1-[[2-[(2-methyl-3-pyridyl)oxy]-5-pyridyl]carbamoyl]-6-trifluoromethylindoline (SB-243213) as a potential antidepressant/anxiolytic agent
作者:Bromidge, S.M.; Dabbs, S.; Davies, D.T.; Davies, S.; Duckworth, D.M.; Forbes, I.T.; Gaster, L.M.; Ham, P.; Jones, G.E.; King, F.D.; Mulholland, K.R.; Saunders, D.V.; Wyman, P.A.; Blaney, F.E.; Clarke, S.E.; Blackburn, T.P.; Holland, V.; et al.
来源:J Med Chem 2000,43(6),1123
合成路线图解说明:

3-Fluoro-5-(3-pyridyl)aniline (IX) was prepared by palladium coupling of 3-fluoro-5-iodonitrobenzene (VI) and 3-pyridylboronic acid (VII), followed by reduction of the resultant nitro derivative (VIII) using stannous chloride in aqueous HCl (3). Treatment of aniline (IX) with phenyl chloroformate in the presence of triethylamine gave rise to carbamate (X). This was then coupled with indoline (V) to furnish the title amide.

Drug Information Express,Drug R&D,Chemical Database,Patent Search.
Copyright © 2006-2026 Drug Future. All rights reserved.Contact Us