【药物名称】S-19812
化学结构式(Chemical Structure):
参考文献No.31004
标题:Thiophene cpds., process for their preparation and pharmaceutical compsns. containing them
作者:Wierzbicki, M.; Sauveur, F.; Bonnet, J.; Tordjman, C. (ADIR et Cie.)
来源:EP 0728755; FR 2730996; JP 1996253470
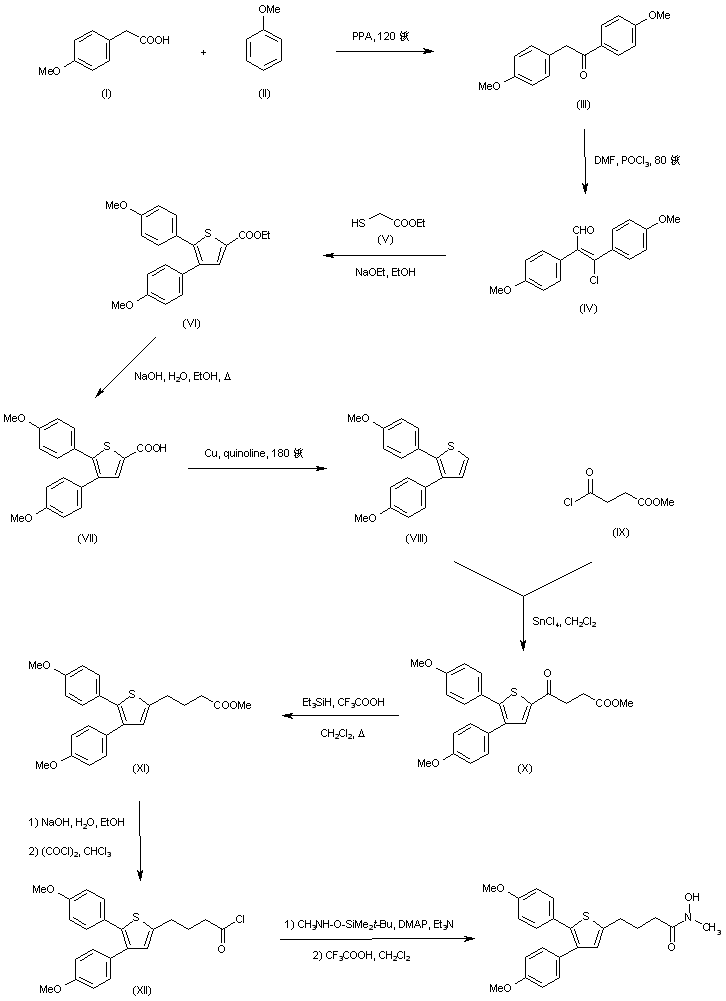
合成路线图解说明:

Condensation of (4-methoxyphenyl)acetic acid (I) with anisole (II) in hot PPA produced ketone (III). Subsequent treatment of (III) with the Vilsmeier reagent afforded chloroaldehyde (IV). The required thiophene (VI) was then obtained by cyclization with ethyl mercaptoacetate (V) in the presence of NaOEt. After basic hydrolysis of the ester group of (VI), the resulting acid (VII) was decarboxylated by means of copper in quinoline at 180 C, yielding thiophene (VIII). Stannic chloride-promoted Friedel-Crafts acylation of (VIII) with 3-(methoxycarbonyl)propionyl chloride (IX) gave ketoester (X). The keto group of (X) was further reduced employing triethylsilane in trifluoroacetic acid to afford (XI). Hydrolysis of the methyl ester of (XI), followed by treatment with oxalyl chloride furnished acid chloride (XII). The title hydroxamic acid was then obtained by coupling of (XII) with O-(tert-butyldimethylsilyl)-N-methylhydroxylamine and subsequent acid-catalyzed desilylation.

Drug Information Express,Drug R&D,Chemical Database,Patent Search.
Copyright © 2006-2026 Drug Future. All rights reserved.Contact Us