【药物名称】L-768277
化学结构式(Chemical Structure):
参考文献No.30548
标题:Aryl substd. 5,5 fused aromatic nitrogen cpds. as anti-inflammatory agents
作者:Gauthier, J.Y.; Lau, C.K.; Leblanc, Y.; Li, C.-S.; Roy, P.; Therien, M.; Wang, Z. (Merck Frosst Canada Inc.)
来源:EP 0802917; JP 1999501902; US 5552422; WO 9621667
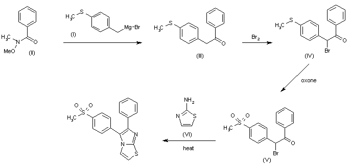
合成路线图解说明:

The Grignard condensation of N-methoxy-N-methylbenzamide (I) with 4-(methylsulfanyl)benzylmagnesium bromide (II) in THF gives the expected ketone (III), which is brominated with Br2 in CCl4 yielding the alpha-bromoketone (IV). The oxidation of the thioether group of (IV) with oxone (potassium peroxymonosulfate) in dichloromethane/methanol/tert-butanol/water affords the corresponding sulfone (V) (1), which is finally cyclocondesed with thiazol-2-amine (VI) in refluxing ethanol or isopentanol.

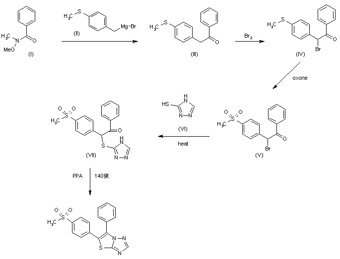
合成路线图解说明:

The Grignard condensation of N-methoxy-N-methylbenzamide (I) with 4-(methylsulfanyl)benzylmagnesium bromide (II) in THF gives the expected ketone (III), which is brominated with Br2 in CCl4 yielding the alpha-bromoketone (IV). The oxidation of the thioether group of (IV) with oxone (potassium peroxymonosulfate) in dichloromethane/methanol/tert-butanol/water affords the corresponding sulfone (V) (1), which is condesed with 4H-1,2,4-triazole-3-thiol (VI) in refluxing ethanol to give 2-[4-(methylsulfonyl)phenyl]-1-phenyl-2-(4H-1,2,4-triazol-3-ylsulfanyl)ethanone (VII). Finally, this compound is cyclized with polyphosphoric acid (PPA) in refluxing xylene.

参考文献No.401383
标题:A new series of selective COX-2 inhibitors: 5, 6-Diarylthiazolo[3,2-b][1,2,4]triazoles
作者:Roy, P.; et al.
来源:Bioorg Med Chem Lett 1997,7(1),57
合成路线图解说明:

The Grignard condensation of N-methoxy-N-methylbenzamide (I) with 4-(methylsulfanyl)benzylmagnesium bromide (II) in THF gives the expected ketone (III), which is brominated with Br2 in CCl4 yielding the alpha-bromoketone (IV). The oxidation of the thioether group of (IV) with oxone (potassium peroxymonosulfate) in dichloromethane/methanol/tert-butanol/water affords the corresponding sulfone (V) (1), which is condesed with 4H-1,2,4-triazole-3-thiol (VI) in refluxing ethanol to give 2-[4-(methylsulfonyl)phenyl]-1-phenyl-2-(4H-1,2,4-triazol-3-ylsulfanyl)ethanone (VII). Finally, this compound is cyclized with polyphosphoric acid (PPA) in refluxing xylene.

参考文献No.401384
标题:Synthesis and biological evaluation of 5, 6-diarylimidazo[2.1-b]thiazole as selective COX-2 inhibitors
作者:Th閞ien, M.; et al.
来源:Bioorg Med Chem Lett 1997,7(1),47
合成路线图解说明:

The Grignard condensation of N-methoxy-N-methylbenzamide (I) with 4-(methylsulfanyl)benzylmagnesium bromide (II) in THF gives the expected ketone (III), which is brominated with Br2 in CCl4 yielding the alpha-bromoketone (IV). The oxidation of the thioether group of (IV) with oxone (potassium peroxymonosulfate) in dichloromethane/methanol/tert-butanol/water affords the corresponding sulfone (V) (1), which is condesed with 4H-1,2,4-triazole-3-thiol (VI) in refluxing ethanol to give 2-[4-(methylsulfonyl)phenyl]-1-phenyl-2-(4H-1,2,4-triazol-3-ylsulfanyl)ethanone (VII). Finally, this compound is cyclized with polyphosphoric acid (PPA) in refluxing xylene.

参考文献No.401385
标题:Characterization of the in vitro oxidative metabolites of the COX-2 selective inhibitor L-766,112
作者:Trimble, L.A.; et al.
来源:Bioorg Med Chem Lett 1997,7(1),53
合成路线图解说明:

The Grignard condensation of N-methoxy-N-methylbenzamide (I) with 4-(methylsulfanyl)benzylmagnesium bromide (II) in THF gives the expected ketone (III), which is brominated with Br2 in CCl4 yielding the alpha-bromoketone (IV). The oxidation of the thioether group of (IV) with oxone (potassium peroxymonosulfate) in dichloromethane/methanol/tert-butanol/water affords the corresponding sulfone (V) (1), which is condesed with 4H-1,2,4-triazole-3-thiol (VI) in refluxing ethanol to give 2-[4-(methylsulfonyl)phenyl]-1-phenyl-2-(4H-1,2,4-triazol-3-ylsulfanyl)ethanone (VII). Finally, this compound is cyclized with polyphosphoric acid (PPA) in refluxing xylene.

Drug Information Express,Drug R&D,Chemical Database,Patent Search.
Copyright © 2006-2026 Drug Future. All rights reserved.Contact Us