【药物名称】SA-6541
化学结构式(Chemical Structure):
参考文献No.30950
标题:Novel amino acid derivs. having N,N-dialkylaminophenyl group
作者:Kawashima, Y.; Horiuchi, M. (Santen Pharmaceutical Co., Ltd.)
来源:EP 0870762; JP 1996301840; WO 9627585
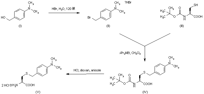
合成路线图解说明:

The treatment of 4-(dimethylamino)benzyl alcohol (I) with concentrated HBr at 120 C in a sealed tube provided benzyl bromide (II). This was then condensed with N-Boc-L-cysteine (III) in the presence of N,N-diisopropyl ethylamine to furnish the benzyl thioether (IV). Subsequent cleavage of the Boc group of (IV) employing HCl in dioxan yielded the intermediate aminoacid (V).

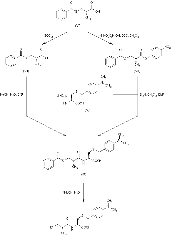
合成路线图解说明:

(S)-3-Benzoylthio-2-methylpropionic acid (VI) was activated as the acid chloride (VII) by treatment with SOCl2 or optionally converted to the active ester (VIII) upon condensation with p-nitrophenol in the presence of DCC. Coupling of aminoacid (V) with either acid chloride (VII) under Schotten-Baumann conditions or with p-nitrophenyl ester (VIII) in the presence of Et3N gave rise to the corresponding amide (IX). The benzoyl thioester of (IX) was finally cleaved employing aqueous ammonia to afford the title thiol.

参考文献No.468705
标题:Involvement of leukotriene B4 in murine dermatitis models
作者:Tsuji, F.; Miyake, Y.; Horiuchi, M.; Mita, S.
来源:Biochem Pharmacol 1998,55297
合成路线图解说明:

The treatment of 4-(dimethylamino)benzyl alcohol (I) with concentrated HBr at 120 C in a sealed tube provided benzyl bromide (II). This was then condensed with N-Boc-L-cysteine (III) in the presence of N,N-diisopropyl ethylamine to furnish the benzyl thioether (IV). Subsequent cleavage of the Boc group of (IV) employing HCl in dioxan yielded the intermediate aminoacid (V).

合成路线图解说明:

(S)-3-Benzoylthio-2-methylpropionic acid (VI) was activated as the acid chloride (VII) by treatment with SOCl2 or optionally converted to the active ester (VIII) upon condensation with p-nitrophenol in the presence of DCC. Coupling of aminoacid (V) with either acid chloride (VII) under Schotten-Baumann conditions or with p-nitrophenyl ester (VIII) in the presence of Et3N gave rise to the corresponding amide (IX). The benzoyl thioester of (IX) was finally cleaved employing aqueous ammonia to afford the title thiol.

Drug Information Express,Drug R&D,Chemical Database,Patent Search.
Copyright © 2006-2026 Drug Future. All rights reserved.Contact Us