【药物名称】YM-57029
化学结构式(Chemical Structure):
参考文献No.30744
标题:Novel benzamidine derivs. and medicinal compsn. thereof
作者:Akamatsu, S.; Matsumoto, Y.; Ichihara, M.; Kawasaki, T.; Kaku, S.; Yanagisawa, I. (Yamanouchi Pharmaceutical Co., Ltd.)
来源:EP 0810215; JP 1996333341; JP 1996333342; US 5773442; WO 9624583
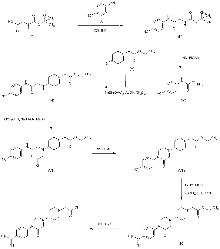
合成路线图解说明:

Coupling between N-Boc-glycine (I) and 4-aminobenzonitrile (II) via activation with CDI yields amide (III). Subsequent acidic N-Boc group cleavage provides the amino acetanilide (IV). Reductive alkylation of amine (IV) with ethyl 4-oxopiperidine-1-acetate (V) leads to the aminopiperidine (VI). This is reductively alkylated with chloroacetaldehyde in the presence of NaBH3CN, to produce the chloroethyl amine (VII). Cyclization of (VII) by means of NaH in DMF furnishes the piperazinone (VIII). The cyano group of (VIII) is then converted to the corresponding ethyl imidate, which is further displaced with ammonium carbonate producing amidine (IX). Finally, saponification of the ethyl ester group of (IX) with LiOH gives rise to the title amidino acid

Drug Information Express,Drug R&D,Chemical Database,Patent Search.
Copyright © 2006-2026 Drug Future. All rights reserved.Contact Us