【药物名称】AM-36
化学结构式(Chemical Structure):
参考文献No.40693
标题:Arylalkylpiperazine cpds. as antioxidants
作者:Collis, M.P.; Robertson, A.D.; Kenche, V.B.; Jackson, W.R.; Jarrott, B.; Beart, P.M. (Monash University)
来源:JP 2000510126; WO 9743259
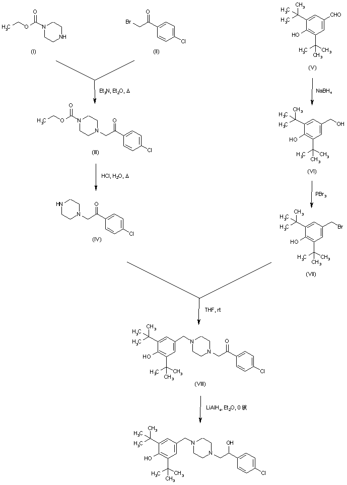
合成路线图解说明:

Alkylation of ethyl 1-piperazinecarboxylate (I) with 2-bromo-4'-chloroacetophenone (II) afforded disubstituted piperazine (III). Further cleavage of the carbamate group of (III) in refluxing HCl produced piperazine (IV). Bromide (VII) was prepared by reduction of 3,5-di-tert-butyl-4-hydroxybenzaldehyde (V) with NaBH4, followed by treatment of the resulting alcohol (VI) with PBr3. Piperazine (IV) was then condensed with bromide (VII) to give adduct (VIII). Finally, ketone reduction using LiAlH4 furnished the title alcohol.

Drug Information Express,Drug R&D,Chemical Database,Patent Search.
Copyright © 2006-2026 Drug Future. All rights reserved.Contact Us