【药物名称】
化学结构式(Chemical Structure):
参考文献No.12769
标题:5-Aminoflavone derivs.
作者:Shida, Y.; Sagaya, T.; Gomi, K.; Kasai, M.; Morimoto, M. (Kyowa Hakko Kogyo Co., Ltd.)
来源:EP 0374789; JP 1990256673
合成路线图解说明:

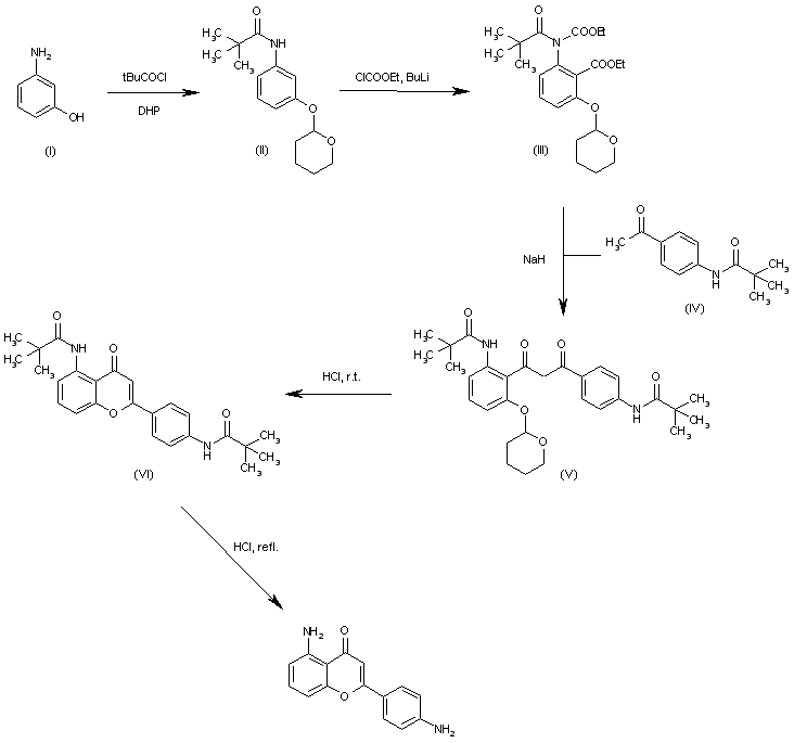
The reaction of 3-aminophenol (I) with pivaloyl chloride and then with DHP and TsOH gives the protected pivalanilide (II), which is condensed with ethyl chloroformate by means of BuLi in THF yielding the benzoate ester (III). The condensation of benzoate (III) with acetophenone (IV) by means of NaH in refluxing dioxane affords the intermediate diketone (V), which, without purification, was treated with HCl in ethanol at room temperature to give the protected flavone (VI). Finally, thee removal of the two pivaloyl protecting groups was effected with HCl in refluxing ethanol.

参考文献No.394956
标题:Novel 5-aminoflavone derivatives as specific antitumor agents in breast cancer
作者:Akama, T.; Shida, Y.; Sugaya, T.; Ishida, H.; Gomi, K.; Kasai, M.
来源:J Med Chem 1996,39(18),3461
合成路线图解说明:

The reaction of 3-aminophenol (I) with pivaloyl chloride and then with DHP and TsOH gives the protected pivalanilide (II), which is condensed with ethyl chloroformate by means of BuLi in THF yielding the benzoate ester (III). The condensation of benzoate (III) with acetophenone (IV) by means of NaH in refluxing dioxane affords the intermediate diketone (V), which, without purification, was treated with HCl in ethanol at room temperature to give the protected flavone (VI). Finally, thee removal of the two pivaloyl protecting groups was effected with HCl in refluxing ethanol.

参考文献No.582729
标题:Synthesis of a 6H-pyrazolo[4,5,1-de]acridin-6-one derivative: A useful intermediate of antitumor agents
作者:Sugaya, T.; et al.
来源:Synthesis 1994,73
合成路线图解说明:

The reaction of 3-aminophenol (I) with pivaloyl chloride and then with DHP and TsOH gives the protected pivalanilide (II), which is condensed with ethyl chloroformate by means of BuLi in THF yielding the benzoate ester (III). The condensation of benzoate (III) with acetophenone (IV) by means of NaH in refluxing dioxane affords the intermediate diketone (V), which, without purification, was treated with HCl in ethanol at room temperature to give the protected flavone (VI). Finally, thee removal of the two pivaloyl protecting groups was effected with HCl in refluxing ethanol.

Drug Information Express,Drug R&D,Chemical Database,Patent Search.
Copyright © 2006-2026 Drug Future. All rights reserved.Contact Us