【药物名称】Madindoline A, K93-711-A
化学结构式(Chemical Structure):
参考文献No.568861
标题:Total synthesis of (+)-madindoline A and (-)-madindoline B, potent, selective inhibitors of interleukin 6. Determination of the relative and absolute configurations
作者:Sunazuka, T.; et al.
来源:J Am Chem Soc 2000,122(9),2122
合成路线图解说明:

Boron-catalyzed condensation of propionyl oxazolidinone (I) with acrolein (II) stereoselectively provided the aldol product (III), and further methanolysis afforded beta-hydroxy ester (IV). A second aldol condensation of (IV) with methacrolein (V) furnished a difficultly separable mixture of diols (VI). Conversion of (VI) to the corresponding acetonides by treatment with 2-methoxypropene (VII) allowed chromatographical separation of the required major isomer (VIII). Hydrolysis of the acetonide, followed by ring-closing metathesis of diene (XI) in the presence of Grubbs catalyst gave rise to cyclopentene (XII). Selective silylation of the less hindered allylic hydroxyl of (XII) with tert-butyldimethylsilyl chloride yielding (XIII) and subsequent oxidation of the remaining alcohol group with MnO2 then provided ketone (XIV). Conjugate addition of lithium di-n-butylcuprate to the unsaturated ketone, followed by phenylselenylation of the intermediate enolate with PhSeBr yielded alpha-selenyl ketone (XV). Oxidative elimination of the phenylselenyl group gave a (1:1) mixture of the required unsaturated ketone (XVII) and its exomethylene isomer (XVI). Isomerization of (XVI) to the desired endo isomer (XVII) was carried out by treatment with RhCl3.

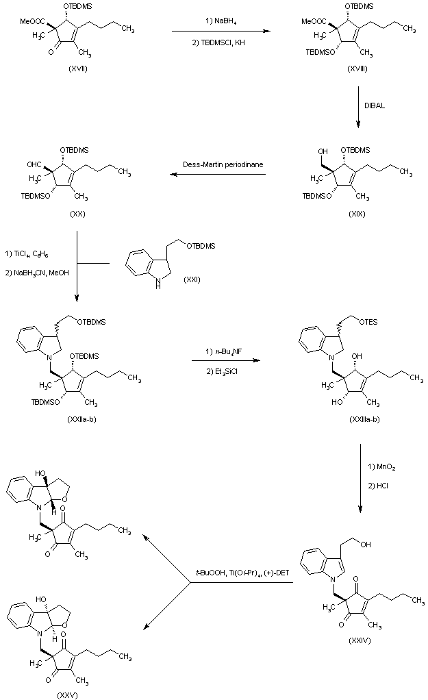
合成路线图解说明:

Stereoselective ketone (XVII) reduction with NaBH4, and then silylation with tert-butyldimethylsilyl chloride and KH furnished bis(silyl) ether (XVIII). The ester group of (XVIII) was converted to aldehyde (XX) via reduction to alcohol (XIX) with DIBAL and further oxidation with the Dess-Martin reagent. Reductive coupling of (XX) with indoline (XXI) was performed by formation of an intermediate imine using TiCl4 as the dehydrating reagent and then reduction with NaBH3CN to afford (XXII). Removal of all silyl groups from the N-alkylated indoline (XXII) with tetrabutylammonium fluoride and then selective silylation of the primary hydroxyl group with triethylsilyl chloride provided diol (XXIII). Oxidation of both secondary hydroxyl groups to ketone and indoline ring to the corresponding indole was performed by treatment with MnO2. Acid desilylation then yielded tryptophol (XXIV). Finally, oxidative ring closure of (XXIV) under Sharpless epoxidation conditions furnished the desired furoindoline system as a mixture of isomers. End product, identical with the natural (+)-madindoline A, was obtained as the major isomer using (+)-diethyl tartrate as the chiral catalyst.

参考文献No.593599
标题:Total synthesis of madindoline A
作者:Hosokawa, S.; et al.
来源:Tetrahedron Lett 2000,41(33),6435
合成路线图解说明:

The debenzylation of the chiral aldehyde (I) with BCl3 in dichloromethane gives the hydroxymethyl aldehyde (II), which is treated with Ac2O and TEA in dichloromethane to yield the acetoxymethyl aldehyde (III). The reductocondensation of (II) with the furoindoline (IV) by means of NaBH(OAc)3 and Sn(OTf)2 in 1,2-dichloroethane affords adduct (V) which is deacetylated by means of K2CO3 in methanol providing the hydroxymethyl derivative (VI). The oxidation of (VI) with DMP in dichloromethane gives the aldehyde (VII), which is alkylated with EtBr and NaH in THF and treated with Ac2O TEA and DMAP to give the acetoxy compound (VIII). The dihydroxylation of the double bond of (VIII) with OsO4 and NMO, followed by a treatment with K2CO3 in methanol yields the trihydroxy compound (IX), which is submitted to a Swern oxidation to afford the triketonic compound (X). The cyclization of (X) with DBU in benzene provides the cyclopentenedione derivative (XI), which is finally deprotected with TBAF in THF to afford the target compound.

Drug Information Express,Drug R&D,Chemical Database,Patent Search.
Copyright © 2006-2026 Drug Future. All rights reserved.Contact Us