【药物名称】SB-236057A(hydrochloride), SB-236057
化学结构式(Chemical Structure):
参考文献No.30344
标题:Tetracyclic spiro cpds., process for their preparation and their use as 5HT1D receptor antagonists
作者:Gaster, L.M.; King, F.D.; Wyman, P.A. (GlaxoSmithKline plc)
来源:EP 0799226; JP 1998510821; US 5972951; WO 9619477
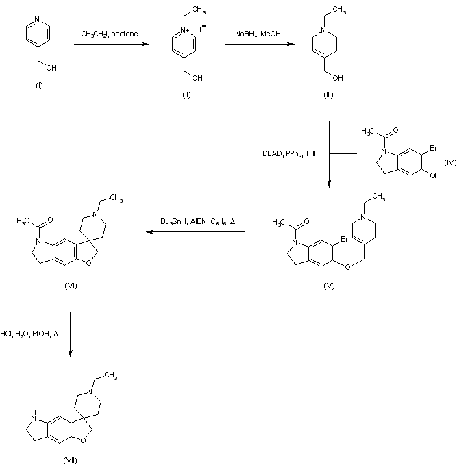
合成路线图解说明:

Quaternization of 4-pyridylcarbinol (I) by means of iodoethane provided pyridinium salt (II), which was reduced with NaBH4 to the tetrahydropyridine (III). Subsequent Mitsunobu coupling of (III) with 1-acetyl-6-bromo-2,3-dihydro-1H-indol-5-ol (IV) afforded ether (V). Intramolecular cyclization of (V) to the spiro compound (VI) was effected by treatment with tributyltin hydride and azobis(isobutyronitrile). The acetamide function of (VI) was then hydrolyzed by refluxing with HCl in H2O-EtOH to furnish intermediate diamine (VII).

合成路线图解说明:

Palladium-catalyzed coupling of phenyloxadiazol derivative (VIII) with 4-boronobenzoic acid (IX) yielded biphenyl (X). Further treatment of (X) with SOCl2 afforded acid chloride (XI). This was finally condensed with amine (VII) to provide the title carboxamide.

Drug Information Express,Drug R&D,Chemical Database,Patent Search.
Copyright © 2006-2026 Drug Future. All rights reserved.Contact Us