【药物名称】PGE-5428060
化学结构式(Chemical Structure):
参考文献No.470297
标题:Preparation and antimicrobial assessment of 2-thioether-linked quinolonyl-carbapenems
作者:Hershberger, P.M.; Switzer, A.G.; Yelm, K.E.; Coleman, M.C.; Devries, C.A.; Rourke, F.J.; Davis, B.W.; Kraft, W.G.; Twinem, T.L.; Koenigs, P.M.; Paule, S.M.; Siehnel, R.J.; Zoutendam, P.H.; Imbus, R.; Demuth, T.P. Jr.
来源:J Antibiot 1998,51(9),857-871
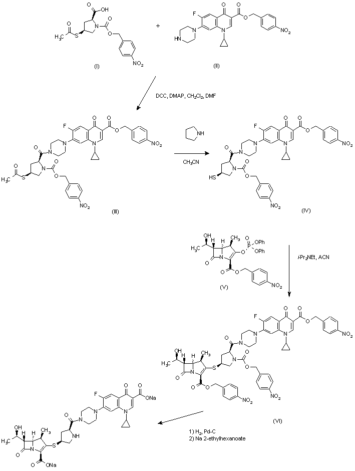
合成路线图解说明:

Coupling of thioacetylproline derivative (I) with p-nitrobenzyl ester of ciprofloxacin (II) in the presence of dicyclohexylcarbodiimide (DCC) and 4-dimethylaminopyridine (DMAP) provided amide (III). Treatment with pyrrolidine in acetonitrile gave thiol (IV), which was subsequently alkylated with the carbapenem phosphate (V) in the presence of diisopropylethylamine to give thioether (VI). Then, hydrogenolytical removal of p-nitrobenzyl protecting groups in the presence of Pd-C, followed by treatment with sodium 2-ethylhexanoate in acetone provided the target disodium salt.

Drug Information Express,Drug R&D,Chemical Database,Patent Search.
Copyright © 2006-2026 Drug Future. All rights reserved.Contact Us