【药物名称】Oseltamivir phosphate, Ro-64-0796/002, GS-4104/002, Ro-64-0796(free base), GS-4104(free base), Tamiflu
化学结构式(Chemical Structure):
参考文献No.30931
标题:Novel selective inhibitors of viral or bacterial neuraminidases
作者:Bischofberger, N.W.; Kim, C.U.; Lew, W.; Liu, H.; Williams, M.A. (Gilead Sciences Inc.)
来源:EP 0759917; EP 0976734; JP 1999501908; WO 9626933
合成路线图解说明:

2) The esterification of Shikimic acid (XIV) with MeOH/TsOH gives the methyl ester (XV), which is treated with 2,2-dimethoxypropane (II) and TsOH to yield the acetonide (XVI). The mesylation of (XVI) with mesyl chloride and TEA in dichloromethane gives the mesylated acetonide (XVII), which is hydrolyzed with HCl, yielding the dihydroxy ester (XVIII). The epoxidation of (XVIII) with DBU in THF affords the epoxide (XIX), which is protected with methyl chloromethyl ether to give compound (XX). The reaction of (XX) with sodium azide in refluxing methanol/water provides the hydroxy azide (XXI), which is acylated with mesyl chloride to the mesylate (XXII). The cyclization of (XXII) by means of triphenylphosphine in THF affords the aziridine (XXIII), which is treated with sodium azide in hot DMF to give the amino azide (XXIV). The deprotection of (XXIV) with HCl followed by tritylation of the free amino group with trityl chloride and TEA yields compound (XXV), which is cyclized by means of mesyl chloride and TEA to afford the tritylaziridine (XXVI). The cleavage of the aziridine ring of (XXVI) with 3-pentanol, followed by acetylation of the resulting amino group, affords the acetamido aziridine (XXVII), which is hydrolyzed at the ester group with KOH in THF/water to give the carboxylic acid (XXVIII). The esterification of (XXVIII) with ethanol, DCC and DMAP in dichloromethane affords the azido ester (XIII), which is finally reduced with triphenylphosphine in hot THF/water.

参考文献No.38822
标题:Cpds. containing six-membered rings, processes for their preparation, and their use as medicaments
作者:Bischofberger, N.W.; Kim, C.U.; Williams, M.A.; Mills, R.G.; Hitchcock, M.J.M.; Dahl, T.C.; Lew, W.; Liu, H. (Gilead Sciences Inc.)
来源:EP 1015417; WO 9914185
合成路线图解说明:

1) The reaction of (-)-quinic acid (I) with 2,2-dimethoxypropane (II) and p-toluenesulfonic acid in refluxing acetone gives the protected lactone (III), which by treatment with sodium ethoxide in ethanol yields the ethyl ester (IV). The acylation of (IV) with mesyl chloride and TEA in dichloromethane affords the mesylate (V), which is dehydrated with SO2Cl2 in dichloromethane, giving the cyclohexenecarboxylate (VI). The transketalization of (VI) with 3-pentanone and HClO4 affords the 3,4-pentylidene ketal (VII), which is cleaved with borane methyl sulfide complex to the 3-pentyl ether (VIII). The epoxidation of (VIII) by treatment with KHCO3 in hot ethanol affords the epoxide (IX), which is opened with sodium azide and ammonium chloride in ethanol/water, resulting in the the azido alcohol (X). The cyclization of (X) with triphenylphosphine in refluxing THF/acetonitrile or trimethylphosphine in anhydrous acetonitrile yields aziridine (XI), which is opened by means of sodium azide in hot DMF to the azidoamine (XII). The acetylation of (XII) with acetic anhydride provides the azidoacetamide (XIII), which is reduced with H2 over Lindlar catalyst or over RaNi in ethanol and treated with 85% phosphoric acid.

参考文献No.41088
标题:Carbocyclic cpds.
作者:Bischofberger, N.W.; Kim, C.U.; Williams, M.A.; Lew, W.; Liu, H. (Gilead Sciences Inc.)
来源:US 5763483
合成路线图解说明:

2) The esterification of Shikimic acid (XIV) with MeOH/TsOH gives the methyl ester (XV), which is treated with 2,2-dimethoxypropane (II) and TsOH to yield the acetonide (XVI). The mesylation of (XVI) with mesyl chloride and TEA in dichloromethane gives the mesylated acetonide (XVII), which is hydrolyzed with HCl, yielding the dihydroxy ester (XVIII). The epoxidation of (XVIII) with DBU in THF affords the epoxide (XIX), which is protected with methyl chloromethyl ether to give compound (XX). The reaction of (XX) with sodium azide in refluxing methanol/water provides the hydroxy azide (XXI), which is acylated with mesyl chloride to the mesylate (XXII). The cyclization of (XXII) by means of triphenylphosphine in THF affords the aziridine (XXIII), which is treated with sodium azide in hot DMF to give the amino azide (XXIV). The deprotection of (XXIV) with HCl followed by tritylation of the free amino group with trityl chloride and TEA yields compound (XXV), which is cyclized by means of mesyl chloride and TEA to afford the tritylaziridine (XXVI). The cleavage of the aziridine ring of (XXVI) with 3-pentanol, followed by acetylation of the resulting amino group, affords the acetamido aziridine (XXVII), which is hydrolyzed at the ester group with KOH in THF/water to give the carboxylic acid (XXVIII). The esterification of (XXVIII) with ethanol, DCC and DMAP in dichloromethane affords the azido ester (XIII), which is finally reduced with triphenylphosphine in hot THF/water.

参考文献No.41089
标题:Preparation of cyclohexene carboxylate derivs.
作者:McGee, L.R.; Kent, K.M.; Portich, M.J.; Kim, C.U.; Williams, M.A.; Zhang, L.; Prisbe, E.J.; Rohloff, J.C.; Munger, J.D.; St. John, D.E. (Gilead Sciences Inc.)
来源:WO 9807685
合成路线图解说明:

1) The reaction of (-)-quinic acid (I) with 2,2-dimethoxypropane (II) and p-toluenesulfonic acid in refluxing acetone gives the protected lactone (III), which by treatment with sodium ethoxide in ethanol yields the ethyl ester (IV). The acylation of (IV) with mesyl chloride and TEA in dichloromethane affords the mesylate (V), which is dehydrated with SO2Cl2 in dichloromethane, giving the cyclohexenecarboxylate (VI). The transketalization of (VI) with 3-pentanone and HClO4 affords the 3,4-pentylidene ketal (VII), which is cleaved with borane methyl sulfide complex to the 3-pentyl ether (VIII). The epoxidation of (VIII) by treatment with KHCO3 in hot ethanol affords the epoxide (IX), which is opened with sodium azide and ammonium chloride in ethanol/water, resulting in the the azido alcohol (X). The cyclization of (X) with triphenylphosphine in refluxing THF/acetonitrile or trimethylphosphine in anhydrous acetonitrile yields aziridine (XI), which is opened by means of sodium azide in hot DMF to the azidoamine (XII). The acetylation of (XII) with acetic anhydride provides the azidoacetamide (XIII), which is reduced with H2 over Lindlar catalyst or over RaNi in ethanol and treated with 85% phosphoric acid.

参考文献No.41090
标题:Preparation of carbocyclic cpds.
作者:Postich, M.J.; Williams, M.A.; Rohloff, J.C.; Prisbe, E.J.; McGee, L.R.; Kent, K.M.; Munger, J.D.; Zhang, L.; Kim, C.U.; Kelly, D.E. (Gilead Sciences Inc.)
来源:US 5886213
合成路线图解说明:

1) The reaction of (-)-quinic acid (I) with 2,2-dimethoxypropane (II) and p-toluenesulfonic acid in refluxing acetone gives the protected lactone (III), which by treatment with sodium ethoxide in ethanol yields the ethyl ester (IV). The acylation of (IV) with mesyl chloride and TEA in dichloromethane affords the mesylate (V), which is dehydrated with SO2Cl2 in dichloromethane, giving the cyclohexenecarboxylate (VI). The transketalization of (VI) with 3-pentanone and HClO4 affords the 3,4-pentylidene ketal (VII), which is cleaved with borane methyl sulfide complex to the 3-pentyl ether (VIII). The epoxidation of (VIII) by treatment with KHCO3 in hot ethanol affords the epoxide (IX), which is opened with sodium azide and ammonium chloride in ethanol/water, resulting in the the azido alcohol (X). The cyclization of (X) with triphenylphosphine in refluxing THF/acetonitrile or trimethylphosphine in anhydrous acetonitrile yields aziridine (XI), which is opened by means of sodium azide in hot DMF to the azidoamine (XII). The acetylation of (XII) with acetic anhydride provides the azidoacetamide (XIII), which is reduced with H2 over Lindlar catalyst or over RaNi in ethanol and treated with 85% phosphoric acid.

参考文献No.489692
标题:Practical total synthesis of the anti-influenza drug GS-4104
作者:Rohloff, J.C.; Kent, K.M.; Postich, M.J.; et al.
来源:J Org Chem 1998,63(13),4545
合成路线图解说明:

1) The reaction of (-)-quinic acid (I) with 2,2-dimethoxypropane (II) and p-toluenesulfonic acid in refluxing acetone gives the protected lactone (III), which by treatment with sodium ethoxide in ethanol yields the ethyl ester (IV). The acylation of (IV) with mesyl chloride and TEA in dichloromethane affords the mesylate (V), which is dehydrated with SO2Cl2 in dichloromethane, giving the cyclohexenecarboxylate (VI). The transketalization of (VI) with 3-pentanone and HClO4 affords the 3,4-pentylidene ketal (VII), which is cleaved with borane methyl sulfide complex to the 3-pentyl ether (VIII). The epoxidation of (VIII) by treatment with KHCO3 in hot ethanol affords the epoxide (IX), which is opened with sodium azide and ammonium chloride in ethanol/water, resulting in the the azido alcohol (X). The cyclization of (X) with triphenylphosphine in refluxing THF/acetonitrile or trimethylphosphine in anhydrous acetonitrile yields aziridine (XI), which is opened by means of sodium azide in hot DMF to the azidoamine (XII). The acetylation of (XII) with acetic anhydride provides the azidoacetamide (XIII), which is reduced with H2 over Lindlar catalyst or over RaNi in ethanol and treated with 85% phosphoric acid.

参考文献No.555874
标题:Oseltamivir Phosphate
作者:Casta馿r, J.; Leeson, P.A.; Graul, A.
来源:Drugs Fut 1999,24(11),1189
合成路线图解说明:

1) The reaction of (-)-quinic acid (I) with 2,2-dimethoxypropane (II) and p-toluenesulfonic acid in refluxing acetone gives the protected lactone (III), which by treatment with sodium ethoxide in ethanol yields the ethyl ester (IV). The acylation of (IV) with mesyl chloride and TEA in dichloromethane affords the mesylate (V), which is dehydrated with SO2Cl2 in dichloromethane, giving the cyclohexenecarboxylate (VI). The transketalization of (VI) with 3-pentanone and HClO4 affords the 3,4-pentylidene ketal (VII), which is cleaved with borane methyl sulfide complex to the 3-pentyl ether (VIII). The epoxidation of (VIII) by treatment with KHCO3 in hot ethanol affords the epoxide (IX), which is opened with sodium azide and ammonium chloride in ethanol/water, resulting in the the azido alcohol (X). The cyclization of (X) with triphenylphosphine in refluxing THF/acetonitrile or trimethylphosphine in anhydrous acetonitrile yields aziridine (XI), which is opened by means of sodium azide in hot DMF to the azidoamine (XII). The acetylation of (XII) with acetic anhydride provides the azidoacetamide (XIII), which is reduced with H2 over Lindlar catalyst or over RaNi in ethanol and treated with 85% phosphoric acid.

合成路线图解说明:

2) The esterification of Shikimic acid (XIV) with MeOH/TsOH gives the methyl ester (XV), which is treated with 2,2-dimethoxypropane (II) and TsOH to yield the acetonide (XVI). The mesylation of (XVI) with mesyl chloride and TEA in dichloromethane gives the mesylated acetonide (XVII), which is hydrolyzed with HCl, yielding the dihydroxy ester (XVIII). The epoxidation of (XVIII) with DBU in THF affords the epoxide (XIX), which is protected with methyl chloromethyl ether to give compound (XX). The reaction of (XX) with sodium azide in refluxing methanol/water provides the hydroxy azide (XXI), which is acylated with mesyl chloride to the mesylate (XXII). The cyclization of (XXII) by means of triphenylphosphine in THF affords the aziridine (XXIII), which is treated with sodium azide in hot DMF to give the amino azide (XXIV). The deprotection of (XXIV) with HCl followed by tritylation of the free amino group with trityl chloride and TEA yields compound (XXV), which is cyclized by means of mesyl chloride and TEA to afford the tritylaziridine (XXVI). The cleavage of the aziridine ring of (XXVI) with 3-pentanol, followed by acetylation of the resulting amino group, affords the acetamido aziridine (XXVII), which is hydrolyzed at the ester group with KOH in THF/water to give the carboxylic acid (XXVIII). The esterification of (XXVIII) with ethanol, DCC and DMAP in dichloromethane affords the azido ester (XIII), which is finally reduced with triphenylphosphine in hot THF/water.

参考文献No.559353
标题:Industrial synthesis of the key precursor in the synthesis of the anti-influenza drug oseltamivir phosphate (Ro 64-0796/002, GS-4104-02): Ethyl (3R,4S,5S)-4,5-epoxy-3-(1-ethyl-propoxy)-cyclohex-1-ene-1-carboxylate
作者:Fischer, R.; Henning, M.; Federspiel, M.; et al.
来源:Org Process Res Dev 1999,3(4),266
合成路线图解说明:

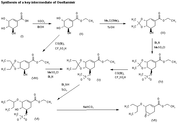
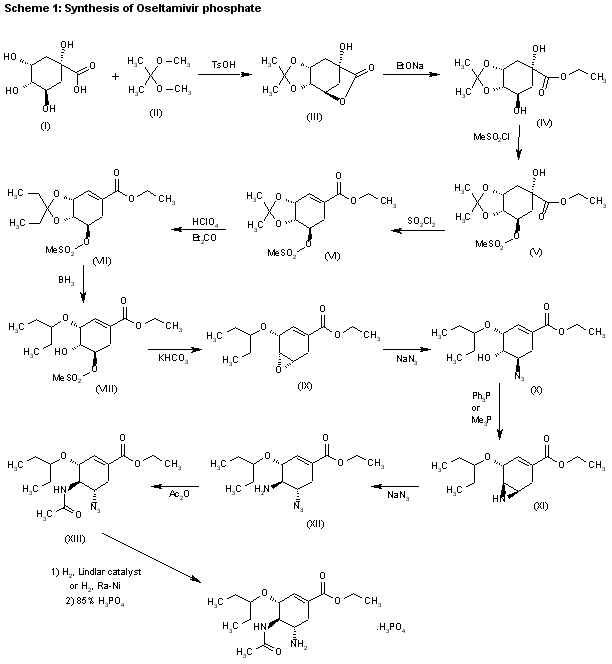
A new industrial synthesis of (3R,4S,5S)-4,5-epoxy-3-(1-ethylpropoxy)-1-cyclohexene-1-carboxylic acid ethyl ester, a key intermediate in the synthesis of the oseltamivir phosphate has been developed: The esterification of (-)-shikimic acid (I) with SOCl2 and ethanol gives the expected ethyl ester (II), which is treated with 2,2-dimethoxypropane and p-toluenesulfonic acid in ethyl acetate to yield the acetonide (III). Mesylation of (III) with mesyl chloride and triethylamine in ethyl acetate affords mesylate (IV), which is trans-ketalized with 3-pentanone and trifluoromethanesulfonic acid giving the pentylidene ketal (V). Reductive opening of the ketal ring of (V) with triethylsilane and TiCl4 in dichloromethane gives the hydroxyether (VI), which is converted into the target epoxide by a treatment with NaHCO3 in ethanol/water. Another route to pentylidene ketal (V) has also been developed: The direct ketalization of ester (II) with 3-pentanone and trifluoromethanesulfonic acid gives the pentylidene ketal (VIII), which is then mesylated with mesyl chloride and triethylamine as before yielding the alredy described mesylate (V). From the above two routes, the route through the mesylate (IV) is preferred even though it is one step longer. Compound (IV) is a highly crystalline compound which can be purified efficiently. In contrast, intermediates (VIII) and (V) are oils and cannot be purified easily and often, the resulting epoxide (VII) obtained through pentylidene ketal (VIII) do not meet the quality requirements and may be reprocessed.

参考文献No.579371
标题:An enatioconvergent route to (-)-shikimic acid via a palladium-mediated elimination reaction
作者:Yoshida, N.; Ogasawara, K.
来源:Org Lett 2000,2(10),1461
合成路线图解说明:

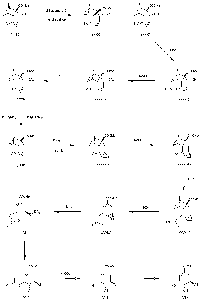
The enzymatic resolution of the tricyclic carboxylate (XXIX) with chiralzyme L-2 and vinyl acetate gives the monoacetate (XXX) and the dihydroxy compound (XXXI) that are easily separated. The monosilylation of the less hindered OH group of (XXXI) with TBDMS-Cl and imidazole in DMF gives the monosilylated compound (XXXII), which is acylated with acetyl chloride, TEA and DMAP in dichloromethane yielding the monoacetate (XXXIII). The desilylation of (XXXIII) with TBAF in THF affords the secondary alcohol (XXXIV), which is oxidized with ammonium formate and PdCl2(PPh3)2 in acetonitrile to give the unsaturated ketone (XXXV). The epoxidation of the double bond of (XXXV) with H2O2 and Triton B in THF yields the ketoepoxide (XXXVI), which is reduced with NaBH4 in methanol to the epoxy alcohol (XXXVII). The esterification of (XXXVII) with benzoyl chloride affords the benzoate (XXXVIII), which is submitted to thermolysis at 300 C in diphenyl ether to provide the cyclohexenecarboxylate (XXXIX).The reaction of (XXXIX) with BF3 ethearate in toluene gives, through the nonisolable oxonium intermediate (XL), the monobenzoate (XLI), which is debenzoylated with K2CO3 in methanol to provide the methyl ester (XLII) of the target compound. Finally, this compound is hydrolyzed with KOH in THF.

合成路线图解说明:

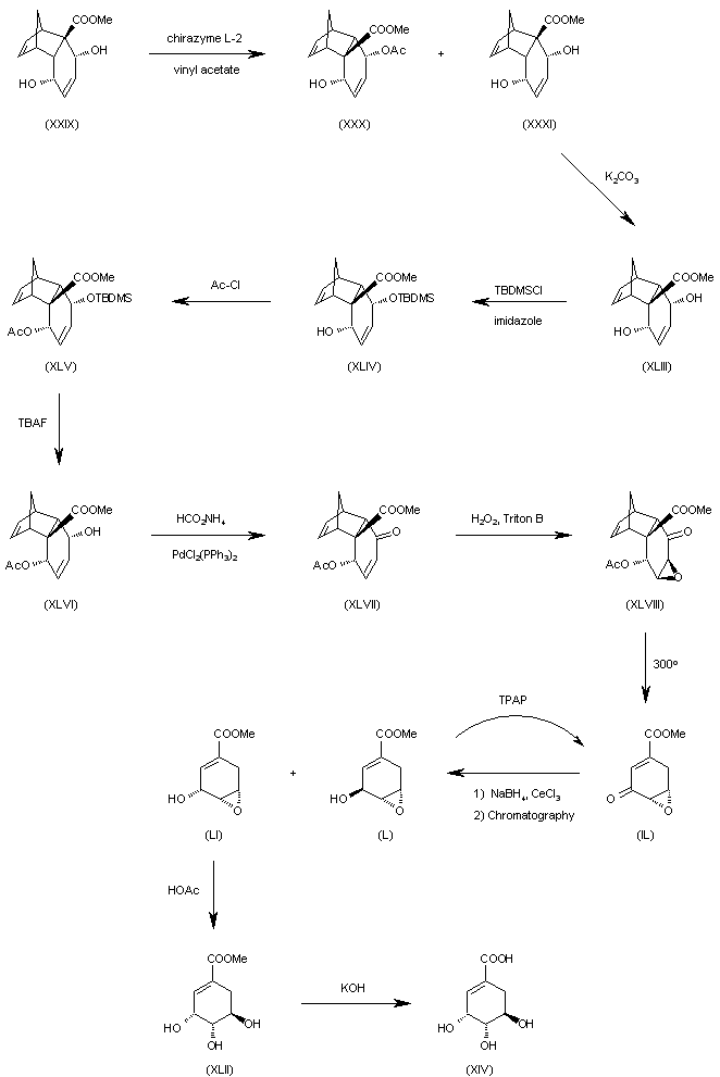
The enzymatic resolution of the tricyclic carboxylate (XXIX) with chiralzyme L-2 and vinyl acetate gives the monoacetate (XXX) and the dihydroxy compound (XXXI) that are easily separated. The hydrolysis of the acetate (XXX) with K2CO3 in methanol yields the diol (XLIII), which silylated with TBDMS-Cl and imidazole at the less hindered OH affording the silyl ether (XLIV). The acetylation of (XLIV) with acetyl chloride, TEA and DMAP gives the acetate (XLV), which is desilylated with TBAF in THF yielding the alcohol (XLVI). The oxidation of (XLVI) with ammonium formate and PdCl2(PPh3)2 in refluxing acetonitrile affords the ketone (XLVII), which is epoxidized with H2O2 and Triton B in THF providing the ketoepoxide (XLVIII). The thermolysis of (XLVIII) at 300 C in diphenyl ether gives the epoxycyclohexenone (IL), which is reduced with NaBH4 and CeCl3 in methanol yielding a mixture of the two diastereomeric alcohols (L) and (LI) that are separated by column chromatography. The desired alcohol (LI) is treated with refluxing 80% AcOH to afford the methyl ester (XLII) of the target compound. Finally, this compound is hydrolyzed with KOH in THF. The undesired diastereomeric alcohol (L) is recycled to epoxyketone (IL) by oxidation with tetrapropylammonium perruthenate (TPAP) and NMMO.

参考文献No.616144
标题:New, azide-free transformation of epoxides into 1,2-diamino compounds: Synthesis of the anti-influenza neuraminidase inhibitor oseltamivir phosphate (Tamiflu)
作者:Trussardi, R.; Karpf, M.
来源:J Org Chem 2001,66(6),2044
合成路线图解说明:

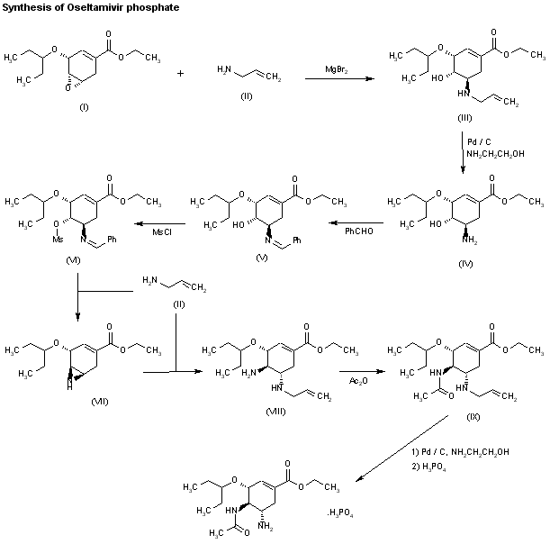
A new synthesis of oseltamivir phosphate has been described: The opening of the oxirane ring of the already reported oseltamivir intermediate (I) by reaction with allylamine (II) in t-BuOMe/MeCN 9:1 provides the allylamino derivative (III), which is deallylated with Pd/C and ethanolamine to give the primary amine (IV). The direct conversion of the amino alcohol (IV) into the vicinal diamine (VIII) is achieved, without isolation of the intermediates, by reaction of compound (IV) with benzaldehyde to give the benzaldehyde imine (V), mesylation of (V) with MsCl and TEA to the mesylate (VI) and treatment of (VI) with allylamine (II) to yield the aziridine intermediate (VII) that opens to the vicinal diamine (VIII). Acylation of the primary amino group of (VIII) with acetic anhydride in acetic acid provides the acetamide (IX), which is finally deallylated with Pd/C and ethanolamine as before and treated with H3PO4.

Drug Information Express,Drug R&D,Chemical Database,Patent Search.
Copyright © 2006-2026 Drug Future. All rights reserved.Contact Us