【药物名称】L-758115
化学结构式(Chemical Structure):
参考文献No.30723
标题:5-Methanesulfonamido-3H-isobenzofuran-1-ones as inhibitors of cyclooxygenase-2
作者:Guay, D.; Li, C.-S.; Ouimet, N. (Merck Frosst Canada Inc.)
来源:US 5968958; WO 9623786
合成路线图解说明:

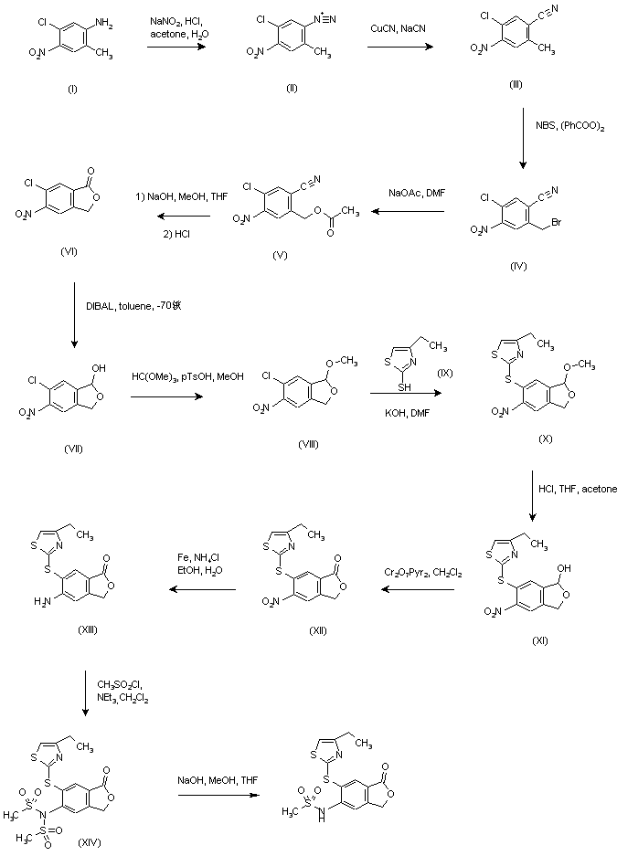
5-Chloro-4-nitro-2-methylaniline (I) was treated with NaNO2 and HCl, and to the intermediate diazonium salt (II) was treated with a mixture of NaCN and Cu2(CN)2 to afford nitrile (III). Benzylic bromination of III with N-bromosuccinimide (NBS) and a catalytic amount of benzoyl peroxide under light irradiation gave bromide (IV), which was converted into acetate (V) on reaction with sodium acetate in DMF. Basic hydrolysis of (V) with NaOH, followed by treatment with HCl, yielded isobenzofuranone (VI). Treatment with diisobutylaluminum hydride (Dibal) in toluene at -78 C effected partial reduction of lactone (VI) to the cyclic hemiacetal (VII), which was then converted into methyl acetal (VIII) by treatment with methanol and trimethyl orthoformate in the presence of p-toluenesulfonic acid. Further reaction with 2-mercapto-4-ethylthiazole (IX) and KOH in DMF provided thiazolyl thioether (X). Then, the methylacetal group was hydrolyzed with HCl in THF-acetone, and the resulting hemiacetal (XI) was oxidized with pyridinium dichromate in dichlorometane to the isobenzofuranone (XII). Reduction of the nitro group with iron powder and ammonium chloride in refluxing EtOH-H2O afforded aniline (XIII). This was condensed with mesyl chloride in the presence of triethylamine to give the bis(methanesulfonyl) compound (XIV), which was finally hydrolyzed with NaOH to the title sulfonamide.

参考文献No.485782
标题:Substituted heterocyclic analogs as selective COX-2 inhibitors in the flosulide class
作者:Ouimet, N.; Chan, C.C.; Charleson, S.; Claveau, D.; Gordon, R.; Guay, D.; Li, CS.; Ouellet, M.; Percival, D.M.; Riendeau, D.; Wong, E.; Zamboni, R.; Prasit, P.
来源:Bioorg Med Chem Lett 1999,9(2),151
合成路线图解说明:

The nitrotoluene (I) was brominated with N-bromosuccinimide in boiling chlorobenzene to produce the benzyl bromide (II), which upon displacement with NaOAc provided the acetate ester (III). After basic hydrolysis, the resulting alcohol was cyclized in situ with HCl to give lactone (IV). The lactone was reduced as the acetal (VI) by reaction with DIBALH, followed by treatment of the resulting lactol (V) with trimethyl orthoformate and PPTS. Subsequent displacement of the chlorine atom of (VI) with the potassium salt of 4-ethyl-2-mercaptothiazole (VII) in DMF at 100 C furnished sulfide (VIII). Further deprotection of the acetal, followed by oxidation of the lactol (IX) with pyridinium dichromate provided lactone (X). The nitro group of (X) was then reduced with iron and NH4Cl to amine (XI). Finally, bis-sulfonation of (XI) with mesyl chloride, followed by selective hydrolysis of one sulfonyl group with NaOH afforded the title sulfonamide.

Drug Information Express,Drug R&D,Chemical Database,Patent Search.
Copyright © 2006-2026 Drug Future. All rights reserved.Contact Us