【药物名称】PD-159790
化学结构式(Chemical Structure):
参考文献No.30341
标题:Quinazolines as inhibitors of endothelin converting enzyme
作者:Ahn, K.; Cheng, X.-M.; Doherty, A.M.; Elslager, E.F.; Kornberg, B.; Lee, C.; Leonard, D.; Nikam, S.S.; Werbel, L.M. (Pfizer Inc.)
来源:EP 0799221; JP 1998510834; US 5658902; WO 9619474
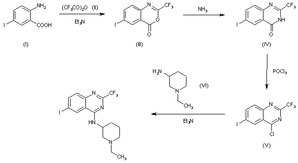
合成路线图解说明:

The cyclization of 2-amino-5-iodobenzoic acid (I) with an excess of refluxing trifluoroacetic anhydride (II) by means of triethylamine gives 6-iodo-2-(trifluoromethyl)-3,1-benzoxazin-4-one (III), which is treated with conc. aqueous NH4OH to afford 6-iodo-2-(trifluoromethyl)quinazolin-4(3H)-one (IV). The reaction of (IV) with refluxing POCl3 yields 4-chloro-6-iodo-2-(trifluoromethyl)quinazoline (V), which is finally condensed with 1-Ethylpiperidine-3-amine (VI) by means of triethylamine in ether.

Drug Information Express,Drug R&D,Chemical Database,Patent Search.
Copyright © 2006-2026 Drug Future. All rights reserved.Contact Us