【药物名称】Zonampanel, YM-872
化学结构式(Chemical Structure):
参考文献No.29824
标题:1,2,3,4-Tetrahydroquinoxalindione deriv.
作者:Shishikura, J.; Inami, H.; Sakamoto, S.; Tsukamoto, S.; Sasamata, M.; Okada, M.; Fujii, M. (Yamanouchi Pharmaceutical Co., Ltd.)
来源:EP 0784054; US 6096743; WO 9610023
合成路线图解说明:

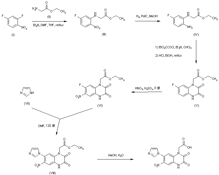
The title compound has been obtained by two related ways: Condensation of glycine ethyl ester (II) with 2,4-difluoronirobenzene (I) provided the N-arylglycine (III), which was further reduced to the phenylenediamine derivative (IV) by catalytic hydrogenation. Acylation of diamine (IV) with ethyl chloroglyoxylate, followed by ring closure in refluxing ethanol, yielded the quinoxalinedione (V). Subsequent electrophyllic nitration of (V) furnished the 6-nitroquinoxaline (VI). The fluoride group of (III) was then displaced with imidazole (VII) in hot DMF yielding the imidazolyl quinoxaline (VIII). Finally, basic hydrolysis of the ethyl ester function of (VIII) gave the target carboxylic acid.

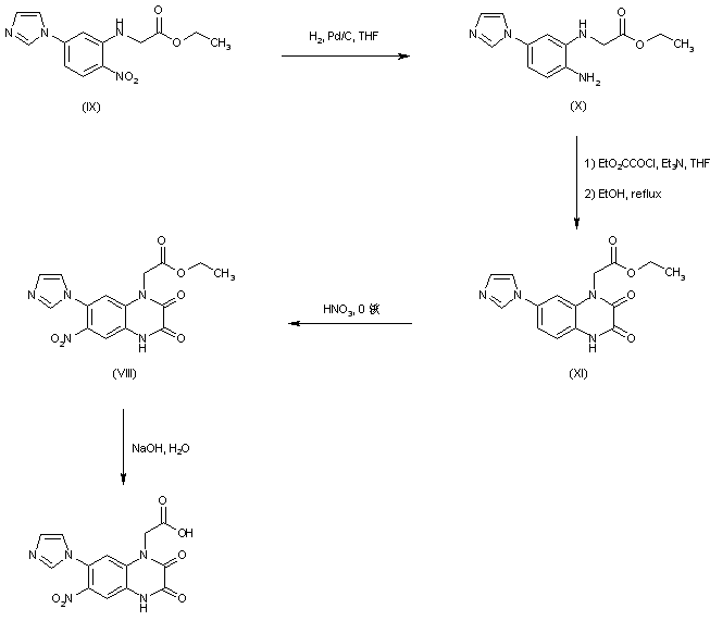
合成路线图解说明:

In a related procedure, the nitrophenyl imidazole (IX) was reduced to diamine (X) by catalytic hydrogenation. Acylation of diamine (X) with ethyl chloroglyoxylate, followed by ring closure, gave rise to quinoxaline (XI), which was then nitrated to afford (VIII) with fuming nitric acid. Finally, basic hydrolysis of the ethyl ester group of (VIII) as above, yielded the corresponding acid.

Drug Information Express,Drug R&D,Chemical Database,Patent Search.
Copyright © 2006-2026 Drug Future. All rights reserved.Contact Us