【药物名称】DMP-802
化学结构式(Chemical Structure):
参考文献No.537445
标题:Orally active isoxazoline glycoprotein IIb/IIIa antagonists with extended duration of action
作者:Olson, R.E.; Sielecki, T.M.; Wityak, J.; Pinto, D.J.; Batt, D.G.; Frietze, W.E.; Liu, J.; Tobin, A.E.; Orwat, M.J.; Di Meo, S.V.; Houghton, G.C.; Lalka, G.K.; Mousa, S.A.; Racanelli, A.L.; Hausner, E.A.; Kapil, R.P.; Rabel, S.R.; et al.
来源:J Med Chem 1999,42(7),1178
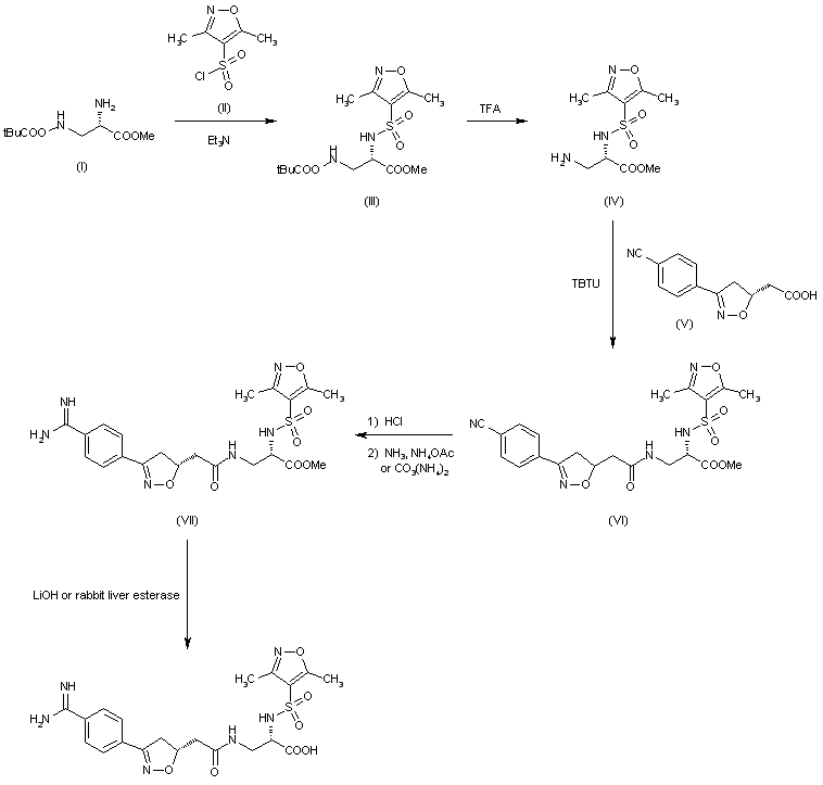
合成路线图解说明:

The sulfonation of 2(S)-amino-3-(tert-butoxycarbonylamino)propionic acid methyl ester (I) with 3,5-dimethylisoxazol-4-ylsulfonyl chloride (II) by means of triethylamine in dichloromethane gives the corresponding sulfonamide (III), which is deprotected with trifluoroacetic acid yielding the 3-aminopropionic acid derivative (IV). The condensation of (IV) with [3-(4-cyanophenyl)-4,5-dihydroisoxazol-5(R)-yl]acetic acid (V) by means of TBTU and triethylamine in DMF affords the carboxamide (VI). The cyano group of (VI) is treated first with dry HCl and then with NH3, NH4OAc, or CO3(NH4)2 to obtain the amidino group of (VII). Finally, compound (VII) is hydrolyzed with LiOH, 6N HCl, or rabbit liver esterase.

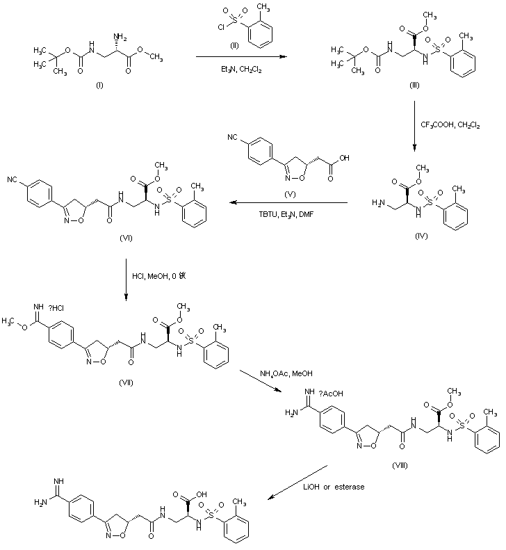
合成路线图解说明:

Condensation of methyl N3-Boc-2,3-diaminopropionate (I) with o-tolylsulfonyl chloride (II) produced sulfonamide (III). Subsequent acid cleavage of the Boc protecting group of (III) gave amine (IV). Coupling of amine (IV) with the previously described (R)-oxazolidineacetic acid (V) using TBTU afforded amide (VI). Pinner reaction of (VI) with methanolic HCl converted nitrile (VI) into imidate (VII), which was further treated with ammonium acetate to furnish amidine (VIII). Finally, selective hydrolysis of the ester function of (VIII) was achieved with either LiOH or with an enzymatic method using rabbit liver esterase.

Drug Information Express,Drug R&D,Chemical Database,Patent Search.
Copyright © 2006-2026 Drug Future. All rights reserved.Contact Us