【药物名称】AD-8717
化学结构式(Chemical Structure):
参考文献No.34252
标题:2-Sulfinylnicotinamide derivs., intermediate thereof, process for producing 2-sulfinylnicotinamide derivs., and medicinal compsn. containing the same as active ingredient
作者:Nishikawa, Y.; Terauchi, H.; Tanitame, A.; Tada, K.; Komiya, M.; Nakamura, K.; Tominaga, Y. (Dainippon Pharmaceutical Co., Ltd.)
来源:WO 9732854
合成路线图解说明:

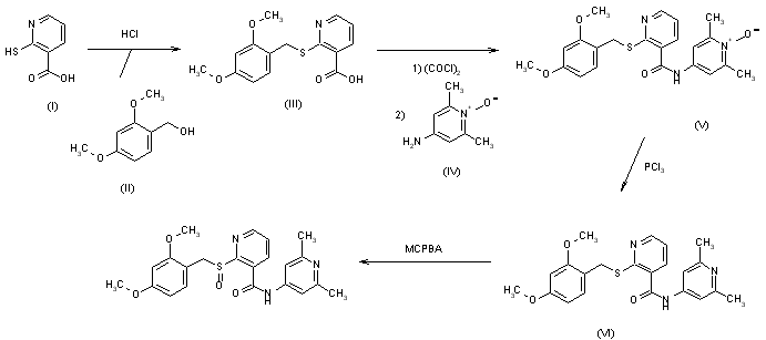
AD-8717 was obtained as shown in Scheme 24060801a. The condensation of 2-mercaptonicotinic acid (I) with 2,4-dimethoxybenzyl alcohol (II) by means of HCl in acetone yields 2-[(2,4-dimethoxybenzyl)thio]nicotinic acid (III). The reaction of (III) with oxalyl chloride in dioxane yields the corresponding chloride, which is condensed with 4-amino-2,6-dimethylpyridine N-oxide (IV) by means of triethylamine in tetrahydrofuran affording 4-[2-[(2,4-dimethoxybenzyl)thio]nicotinoylamino]-2,6-dimethylpyridine N-oxide (V). The reduction of (V) with phosphorus trichloride in dichloromethane yields 2-[(2,4-dimethoxybenzyl)thio]-N-(2,6-dimethyl-4-pyridyl)nicotinamide (VI), which is finally oxidized with m-chloroperbenzoic acid in dichloromethane.

参考文献No.436264
标题:AD-8717
作者:Nakamura, K.; Terauchi, H.; Komiya, M.
来源:Drugs Fut 1997,22(12),1309
合成路线图解说明:

AD-8717 was obtained as shown in Scheme 24060801a. The condensation of 2-mercaptonicotinic acid (I) with 2,4-dimethoxybenzyl alcohol (II) by means of HCl in acetone yields 2-[(2,4-dimethoxybenzyl)thio]nicotinic acid (III). The reaction of (III) with oxalyl chloride in dioxane yields the corresponding chloride, which is condensed with 4-amino-2,6-dimethylpyridine N-oxide (IV) by means of triethylamine in tetrahydrofuran affording 4-[2-[(2,4-dimethoxybenzyl)thio]nicotinoylamino]-2,6-dimethylpyridine N-oxide (V). The reduction of (V) with phosphorus trichloride in dichloromethane yields 2-[(2,4-dimethoxybenzyl)thio]-N-(2,6-dimethyl-4-pyridyl)nicotinamide (VI), which is finally oxidized with m-chloroperbenzoic acid in dichloromethane.

Drug Information Express,Drug R&D,Chemical Database,Patent Search.
Copyright © 2006-2026 Drug Future. All rights reserved.Contact Us