【药物名称】TDP-1040-(S)-[125I], (S)-[125I]-TDP-1040, Daizac-I-125, I-125-Daizac
化学结构式(Chemical Structure):
参考文献No.480971
标题:Labeling of (S)-des-4-amino-3-[125I]iodozacopride (DAIZAC), a high-affinity radioligand for the 5-HT-3 receptor
作者:Mason, N.S.; et al.
来源:J Label Compd Radiopharm 1996,38(11),955
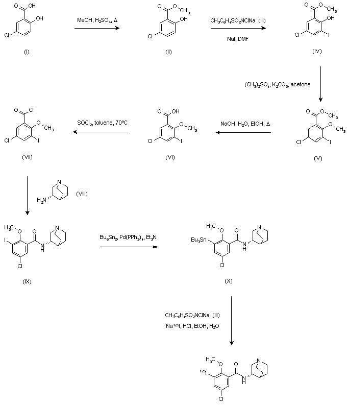
合成路线图解说明:

5-Chlorosalicylic acid (I) was esterified to ester (II) by refluxing in MeOH in the presence of H2SO4. Iodination of methyl ester (II) was performed by treatment with chloramine-T (III) and NaI in DMF to afford methyl 5-chloro-3-iodosalicylate (IV). Subsequent methylation of (IV) with dimethyl sulfate and K2CO3 in refluxing acetone gave methyl ether (V), which was then saponified with NaOH in aqueous EtOH. The resulting carboxylic acid (VI), after conversion to the corresponding acid chloride (VII) by treatment with SOCl2, was coupled with (S)-3-aminoquinuclidine (VIII) in acetonitrile to furnish unlabeled compound (IX). Treatment with bis(tri-n-butyltin) in the presence of Pd(PPh3)4 in refluxing Et3N afforded the tributylstannyl derivative (X), which was then iodinated with chloramine-T (III) in the presence of 125INa to yield the labeled product.

Drug Information Express,Drug R&D,Chemical Database,Patent Search.
Copyright © 2006-2026 Drug Future. All rights reserved.Contact Us