【药物名称】Trecetilide fumarate, PNU-108342E
化学结构式(Chemical Structure):
参考文献No.30538
标题:Antiarrhythmic (S)-enantiomers of methanesulfonamides
作者:Hester, J.B. Jr.; Gibson, J.K. (Pharmacia Corp.)
来源:EP 0802900; JP 1999500418; WO 9621643
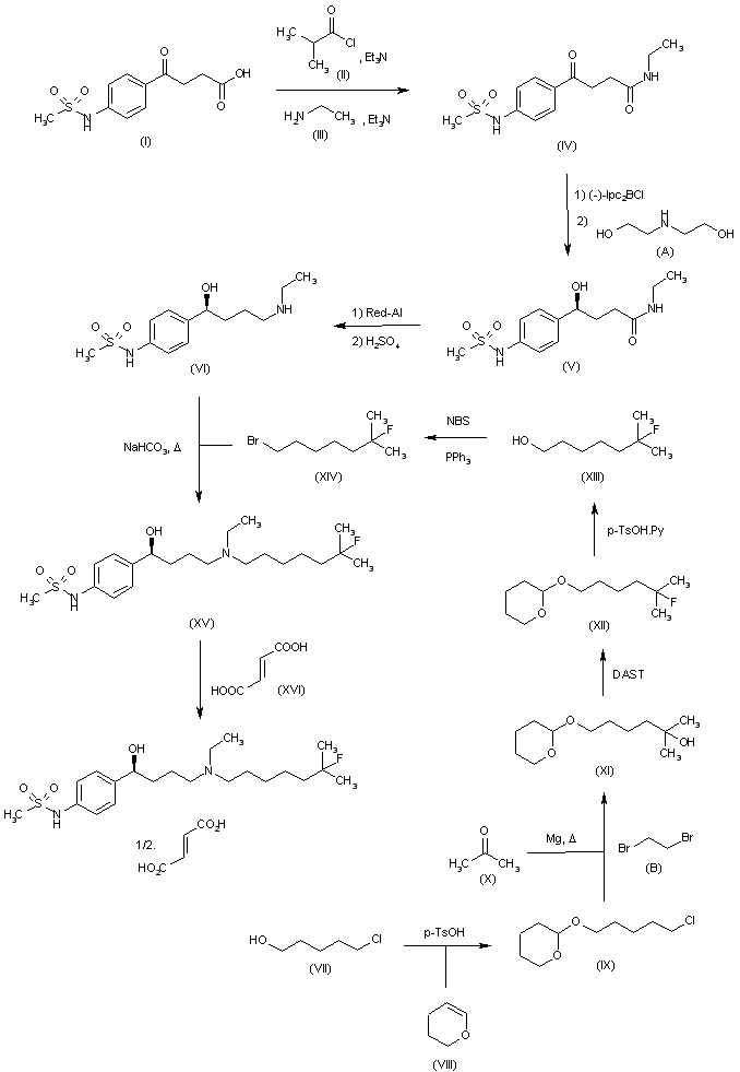
合成路线图解说明:

Activation of butyric acid derivative (I) with isobutyl chloroformate (II) by means of Et3N in THF, followed by coupling with ethylamine (III) in THF in the presence of Et3N, yields butyramide derivative (IV). Reduction of (IV) by means of (-)-B-chlorodiisopinocampheylborane (Ipc2BCl) in THF, followed by reaction with diethanolamine (A), affords hydroxy derivative (V), whose carbonyl group is removed by means of sodium bis(2-methoxyethoxy)aluminum hydride (Red-Al) in toluene/THF, followed by treatment with H2SO4 to provide compound (VI) . Separately, the synthesis of intermediate (XIV) is performed as follows: condensation of pentamethylene chlorohydrin (VII) with 3,4-dihydro-2H-pyran (VIII) by means of p-toluenesulfonic acid in Et2O furnishes 5-chloropentyl-2-tetrahydropyranyl ether (IX), which is then subjected to reaction with acetone (X) in THF by means of Mg in the presence of 1,2-dibromoethane (B) to provide tetrahydropyranyl ether (XI). Conversion of hydroxy derivative (XI) into the corresponding fluoro derivative (XII) is performed by reaction with diethylaminosulfur trifluoride (DAST) in CH2Cl2, and posterior reaction of (XII) with pyridinium p-toluenesulfonate in EtOH furnishes 6-fluoro-6-methyl-1-heptanol (XIII). Finally, intermediate (XIV) is obtained by reaction of (XIII) with NBS and PPh3 in benzene. Condensation of secondary amine (VI) with intermediate (XIV) by means of NaHCO3 in refluxing acetonitrile provides methanesulfonamide (XV), which is finally converted into the target product by formation of the hemifumarate salt by treatment with fumaric acid (XVI) in acetone.

参考文献No.609204
标题:Progress toward the development of a safe and effective agent for treating reentrant cardiac arrhythmias: Synthesis and evaluation of ibutilide analogues with enhanced metabolic stability and diminished proarrhythmic potential
作者:Hester, J.B.; Gibson, J.K.; Buchanan, L.V.; Cimini, M.G.; Clark, M.A.; Emmert, D.E.; Glavanovich, M.A.; Imbordino, R.J.; LeMay, R.J.; McMillan, M.W.; Perricone, S.C.; Squires, D.M.; Walters, R.R.
来源:J Med Chem 2001,44(7),1099
合成路线图解说明:

Activation of butyric acid derivative (I) with isobutyl chloroformate (II) by means of Et3N in THF, followed by coupling with ethylamine (III) in THF in the presence of Et3N, yields butyramide derivative (IV). Reduction of (IV) by means of (-)-B-chlorodiisopinocampheylborane (Ipc2BCl) in THF, followed by reaction with diethanolamine (A), affords hydroxy derivative (V), whose carbonyl group is removed by means of sodium bis(2-methoxyethoxy)aluminum hydride (Red-Al) in toluene/THF, followed by treatment with H2SO4 to provide compound (VI) . Separately, the synthesis of intermediate (XIV) is performed as follows: condensation of pentamethylene chlorohydrin (VII) with 3,4-dihydro-2H-pyran (VIII) by means of p-toluenesulfonic acid in Et2O furnishes 5-chloropentyl-2-tetrahydropyranyl ether (IX), which is then subjected to reaction with acetone (X) in THF by means of Mg in the presence of 1,2-dibromoethane (B) to provide tetrahydropyranyl ether (XI). Conversion of hydroxy derivative (XI) into the corresponding fluoro derivative (XII) is performed by reaction with diethylaminosulfur trifluoride (DAST) in CH2Cl2, and posterior reaction of (XII) with pyridinium p-toluenesulfonate in EtOH furnishes 6-fluoro-6-methyl-1-heptanol (XIII). Finally, intermediate (XIV) is obtained by reaction of (XIII) with NBS and PPh3 in benzene. Condensation of secondary amine (VI) with intermediate (XIV) by means of NaHCO3 in refluxing acetonitrile provides methanesulfonamide (XV), which is finally converted into the target product by formation of the hemifumarate salt by treatment with fumaric acid (XVI) in acetone.

Drug Information Express,Drug R&D,Chemical Database,Patent Search.
Copyright © 2006-2026 Drug Future. All rights reserved.Contact Us