【药物名称】NBI-27914
化学结构式(Chemical Structure):
参考文献No.547937
标题:Design and synthesis of a series of non-peptide high-affinity human corticotropin-releasing factor1 receptor antagonists
作者:Dagnino, R. jr.; Chen, C.; de Souzza, E.B.; et al.
来源:J Med Chem 1996,39(22),4360
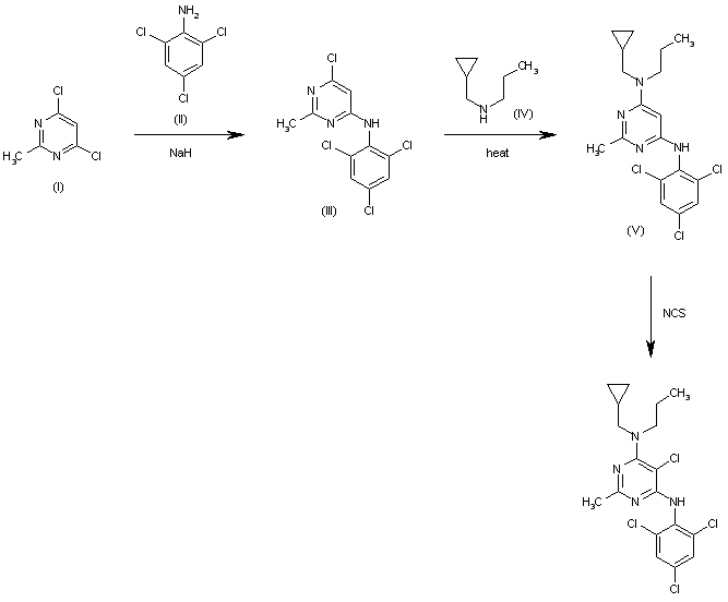
合成路线图解说明:

The condensation of 4,6-dichloro-2-methylpyrimidine (I) with 2,4,6-trichloroaniline (II) by means of NaH in THF gives N-(6-chloro-2-methylpyrimidin-4-yl)-N-(2,4,6-trichlorophenyl)amine (III), which is condensed with N-(cyclopropylmethyl)-N-propylamine (IV) by heating at 100-190 C yielding N-(cyclopropylmethyl)-N-[2-methyl-6-(2,4,6-trichlorophenylamino)-pyrimidin-4-yl]-N-propylamine (V). Finally, this compound is chlorinated with N-chlorosuccinimide (NCS) in refluxing chloroform.

Drug Information Express,Drug R&D,Chemical Database,Patent Search.
Copyright © 2006-2026 Drug Future. All rights reserved.Contact Us