【药物名称】
化学结构式(Chemical Structure):
参考文献No.382973
标题:Synthesis of the four isomers of 4-aminopyrrolidine-2,4-dicarboxylate: Identification of a potent, highly selective, and systemically-active agonist for metabotropic glutamate receptors negatively coupled to adenylate cyclase
作者:Monn, J.A.; Valli, M.J.; Johnson, B.G.; Salhoff, C.R.; Wright, R.A.; Howe, T.J.; Bond, A.; Lodge, D.; Spangle, L.A.; Paschal, J.W.; Campbell, J.B.; Griffey, K.; Tizzano, J.P.; Schoepp, D.D.
来源:J Med Chem 1996,39(15),2990
合成路线图解说明:

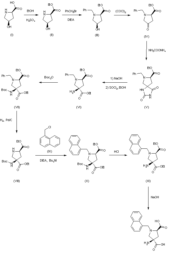
The esterification of (2R,4R)-4-hydroxypyrrolidine-2-carboxylic acid (I) with ethanol and sulfuric acid gives the expected ethyl ester (II), which is N-protected with benzyl bromide and DIEA in dichloromethane to the N-benzyl derivative (III). The oxidation of (III) with oxalyl chloride in DMSO affords the pyrrolidinone (IV), which is cyclized with ammonium carbamate and KCN in hot ethanol/water to afford the spiro imidazolidinedione (V). Opening of the imidazolidinedione ring of (V) with refluxing 3N NaOH, followed by esterification with ethanol/SOCl2 provides (2R,4R)-4-amino-1-benzylpyrrolidine-2,4-dicarboxylic acid diethyl ester (VI), which is protected at the amino group with tert-butoxycarbonyl anhydride giving the carbamate (VII) (1). Hydrogenolysis of the N-benzyl group of (VII) in the presence of Pd/C yields (VIII) with a free imino group, which is alkylated with 1-(chloromethyl)naphthalene (IX) by means of DIEA and Bu4NI affording the naphthylmethyl derivative (X). Removal of the Boc protecting group of (X) with HCl in ethyl ether gives (2R,4R)-4-amino-1-(1-naphthylmethyl)pyrrolidine-2,4-dicarboxylic acid diethyl ester (XI), which is finally hydrolyzed with NaOH to the target diacid (2).

参考文献No.469673
标题:Synthesis and metabotropic glutamate receptor antagonist activity of N'-substituted analogs of 2R,4R-4-aminopyrrolidine-2,4-dicarboxylic acid
作者:Valli, M.J.; Schoepp, D.D.; Wright, R.A.; Johnson, B.G.; Kingston, A.E.; Tomlinson, R.; Monn, J.A.
来源:Bioorg Med Chem Lett 1998,8(15),1985
合成路线图解说明:

The esterification of (2R,4R)-4-hydroxypyrrolidine-2-carboxylic acid (I) with ethanol and sulfuric acid gives the expected ethyl ester (II), which is N-protected with benzyl bromide and DIEA in dichloromethane to the N-benzyl derivative (III). The oxidation of (III) with oxalyl chloride in DMSO affords the pyrrolidinone (IV), which is cyclized with ammonium carbamate and KCN in hot ethanol/water to afford the spiro imidazolidinedione (V). Opening of the imidazolidinedione ring of (V) with refluxing 3N NaOH, followed by esterification with ethanol/SOCl2 provides (2R,4R)-4-amino-1-benzylpyrrolidine-2,4-dicarboxylic acid diethyl ester (VI), which is protected at the amino group with tert-butoxycarbonyl anhydride giving the carbamate (VII) (1). Hydrogenolysis of the N-benzyl group of (VII) in the presence of Pd/C yields (VIII) with a free imino group, which is alkylated with 1-(chloromethyl)naphthalene (IX) by means of DIEA and Bu4NI affording the naphthylmethyl derivative (X). Removal of the Boc protecting group of (X) with HCl in ethyl ether gives (2R,4R)-4-amino-1-(1-naphthylmethyl)pyrrolidine-2,4-dicarboxylic acid diethyl ester (XI), which is finally hydrolyzed with NaOH to the target diacid (2).

Drug Information Express,Drug R&D,Chemical Database,Patent Search.
Copyright © 2006-2026 Drug Future. All rights reserved.Contact Us