【药物名称】
化学结构式(Chemical Structure):
参考文献No.28087
标题:DC-89 deriv.
作者:Amishiro, N.; Nagamura, S.; Saito, H.; Kobayashi, E.; Okamoto, A.; Gomi, K. (Kyowa Hakko Kogyo Co., Ltd.)
来源:EP 0702014; US 5670492; WO 9526964
合成路线图解说明:

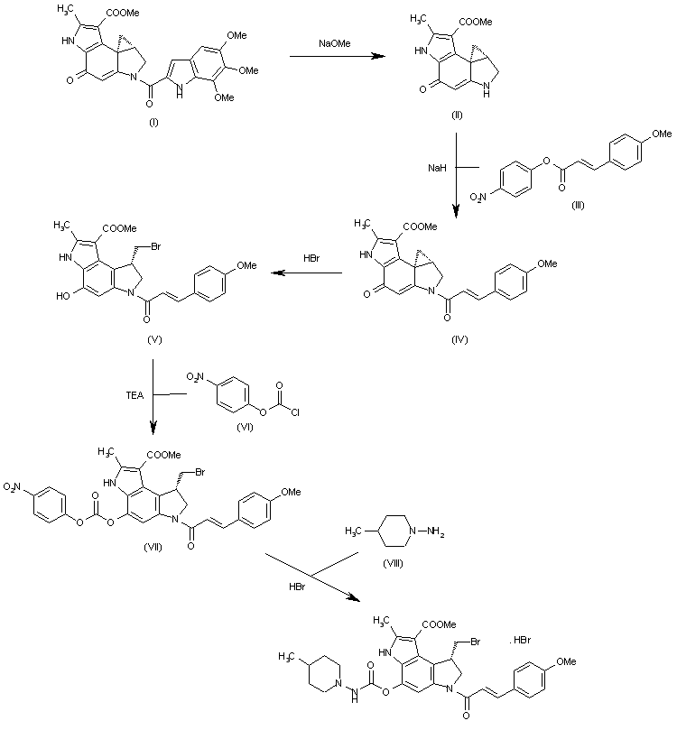
The hydrolysis of DU-86 (I) with NaOMe gives tetracyclic compound (II), which is acylated with the 4-nitrophenyl cinnamate (III) and NaH yielding the adduct (IV). The opening of the cyclopropane ring of (IV) with HBr in acetonitrile affords the aromatic phenol (V), which is activated with 4-nitrophenyl chloroformate (VI) and TEA to provide the activated anhydride (VII). Finally, this compound is condensed with 4-methylpiperazine-1-amine (VIII), and treated with HBr to furnish the target dihydrobromide.

合成路线图解说明:

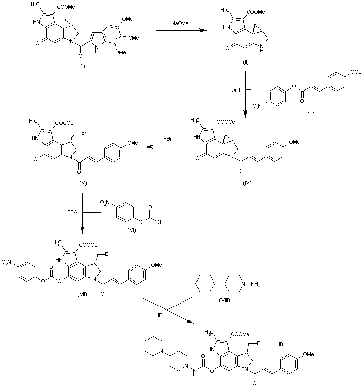
The hydrolysis of DU-86 (I) with NaOMe gives tetracyclic compound (II), which is acylated with the 4-nitrophenyl cinnamate (III) and NaH yielding the adduct (IV). The opening of the cyclopropane ring of (IV) with HBr in acetonitrile affords the aromatic phenol (V), which is activated with 4-nitrophenyl chloroformate (VI) and TEA to provide the activated anhydride (VII). Finally, this compound is condensed with 4-(1-piperidinyl)piperidine-1-amine (VIII), and treated with HBr to furnish the target hydrobromide.

合成路线图解说明:

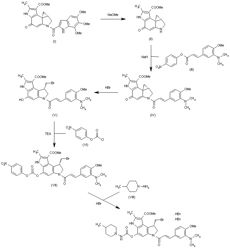
The hydrolysis of DU-86 (I) with NaOMe gives tetracyclic compound (II), which is acylated with the 4-nitrophenyl cinnamate (III) and NaH yielding the adduct (IV). The opening of the cyclopropane ring of (IV) with HBr in acetonitrile affords the aromatic phenol (V), which is activated with 4-nitrophenyl chloroformate (VI) and TEA to provide the activated anhydride (VII). Finally, this compound is condensed with 4-methylpiperazine-1-amine (VIII), and treated with HBr to furnish the target hydrobromide.

参考文献No.568738
标题:Synthesis and antitumor activity of duocarmycin derivatives: Modification at C-8 position of A-ring pyrrole compounds bearing the simplified DNA-binding groups
作者:Amishiro, N.; Nagamura, S.; Murakata, C.; Okamoto, A.; Kobayashi, E.; Asada, M.; Gomi, K.; Tamaoki, T.; Okabe, M.; Yamaguchi, N.; Yamaguchi, K.; Saito, H.
来源:Bioorg Med Chem 2000,8(2),381
合成路线图解说明:

The hydrolysis of DU-86 (I) with NaOMe gives tetracyclic compound (II), which is acylated with the 4-nitrophenyl cinnamate (III) and NaH yielding the adduct (IV). The opening of the cyclopropane ring of (IV) with HBr in acetonitrile affords the aromatic phenol (V), which is activated with 4-nitrophenyl chloroformate (VI) and TEA to provide the activated anhydride (VII). Finally, this compound is condensed with 4-methylpiperazine-1-amine (VIII), and treated with HBr to furnish the target dihydrobromide.

合成路线图解说明:

The hydrolysis of DU-86 (I) with NaOMe gives tetracyclic compound (II), which is acylated with the 4-nitrophenyl cinnamate (III) and NaH yielding the adduct (IV). The opening of the cyclopropane ring of (IV) with HBr in acetonitrile affords the aromatic phenol (V), which is activated with 4-nitrophenyl chloroformate (VI) and TEA to provide the activated anhydride (VII). Finally, this compound is condensed with 4-(1-piperidinyl)piperidine-1-amine (VIII), and treated with HBr to furnish the target hydrobromide.

合成路线图解说明:

The hydrolysis of DU-86 (I) with NaOMe gives tetracyclic compound (II), which is acylated with the 4-nitrophenyl cinnamate (III) and NaH yielding the adduct (IV). The opening of the cyclopropane ring of (IV) with HBr in acetonitrile affords the aromatic phenol (V), which is activated with 4-nitrophenyl chloroformate (VI) and TEA to provide the activated anhydride (VII). Finally, this compound is condensed with 4-methylpiperazine-1-amine (VIII), and treated with HBr to furnish the target hydrobromide.

Drug Information Express,Drug R&D,Chemical Database,Patent Search.
Copyright © 2006-2026 Drug Future. All rights reserved.Contact Us