【药物名称】MOL-144
化学结构式(Chemical Structure):
参考文献No.570894
标题:Secondary structure peptide mimetics: Design, synthesis, and evaluation of beta-strand mimetic thrombin inhibitors
作者:Boatman, P.D.; Ogbu, C.O.; Eguchi, M.; Kim, H.O.; Nakanishi, H.; Cao, B.; Shea, J.P.; Kahn, M.
来源:J Med Chem 1999,42(8),1367
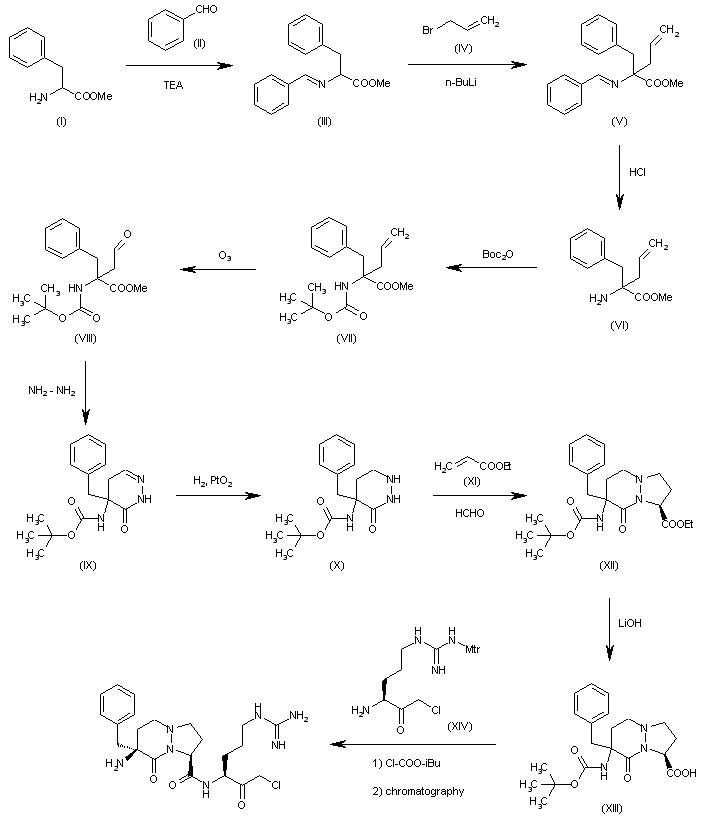
合成路线图解说明:

Condensation of L-phenylalanine methyl ester (I) with benzaldehyde gave aldimine (II). Then, alkylation of (II) with allyl bromide in the presence of LDA, and subsequent imine hydrolysis afforded the racemic alpha-allylphenylalanine methyl ester (III), which was protected as the N-Boc derivative (IV) upon treatment with Boc2O. Ozonolysis of the olefin group of (IV), followed by reductive workup with Me2S yielded the aldehyde ester (V). This was cyclized with hydrazine, affording pyridazinone (VI), which was further hydrogenated over PtO2 to give (VII). The 1,3-dipolar cycloaddition of the iminium ion (VIII), formed by treatment of (VII) with formaldehyde, with boiling ethyl acrylate furnished a mixture of pyrazolopyridazines (IXa-b). After chromatographic isolation of the racemic cis amino ester, hydrolysis with LiOH yielded carboxylic acid (X), which was activated as the mixed anhydride (XI) with isobutyl chloroformate. Coupling of racemic anhydride (XI) with the L-arginine analogue (XII) provided a diastereomeric mixture of amides, from which the desired isomer (XIII) was isolated by column chromatography. Finally, deprotection of (XIII) by means of trifluoroacetic acid furnished the title compound.

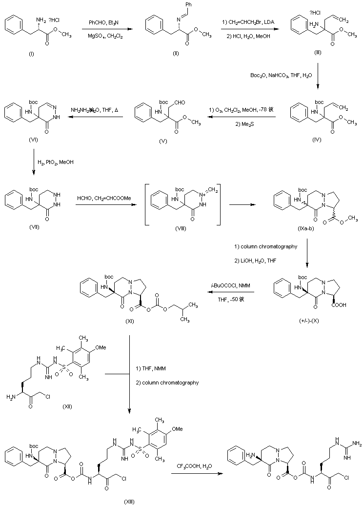
合成路线图解说明:

The reaction of phenylalanine methyl ester (I) with benzaldehyde (II) and TEA in dichloromethane gives the aldimine (III), which is condensed with allyl bromide (IV) by means of n-BuLi in THF yielding the adduct (V). Treatment of (V) with HCl in methanol cleaves the benzylidene protecting group to afford the alpha-allylphenylalanine methyl ester (VI), which is reprotected with Boc2O and NaHCO3 in THF providing the carbamate (VII). The ozonolysis of (VII) with O3 in MeOH/CH2Cl2 gives the aldehyde (VIII), which is cyclized with hydrazine in refluxing THF yielding the tetrahydropyridazinone (IX). Hydrogenation of (IX) with H2 over PtO2 in methanol affords the hexahydropyridazinone (X), which is cyclocondensed with ethyl acrylate (XI) and formaldehyde to furnish the pyrazolopyridazine (XII). Hydrolysis of the ester group of (XII) with LiOH in THF/water gives the acid (XIII), which is finally condensed with N-omega(4-methoxytrityl)-L-arginylchloromethane (XIV) by means of isobutyl chloroformate and NMM in THF yielding, after working up, a diastereomeric mixture of amides, from which the target diastereomer is obtained by column chromatography.

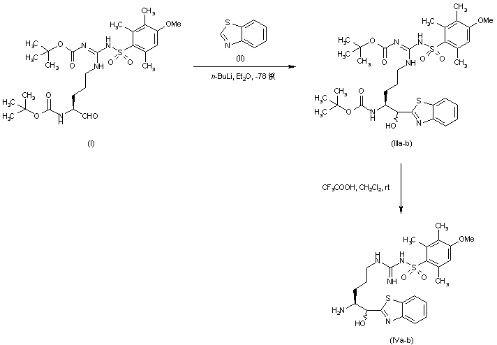
合成路线图解说明:

The precursor aminoalcohol (IV) was prepared as follows: Addition of the organolithium derivative of benzothiazole (II) to the protected argininal (I) gave alcohol (IIIa-b) as a diastereomeric mixture. Then, selective removal of the Boc groups of (IIIa-b) using TFA provided compound (IVa-b).

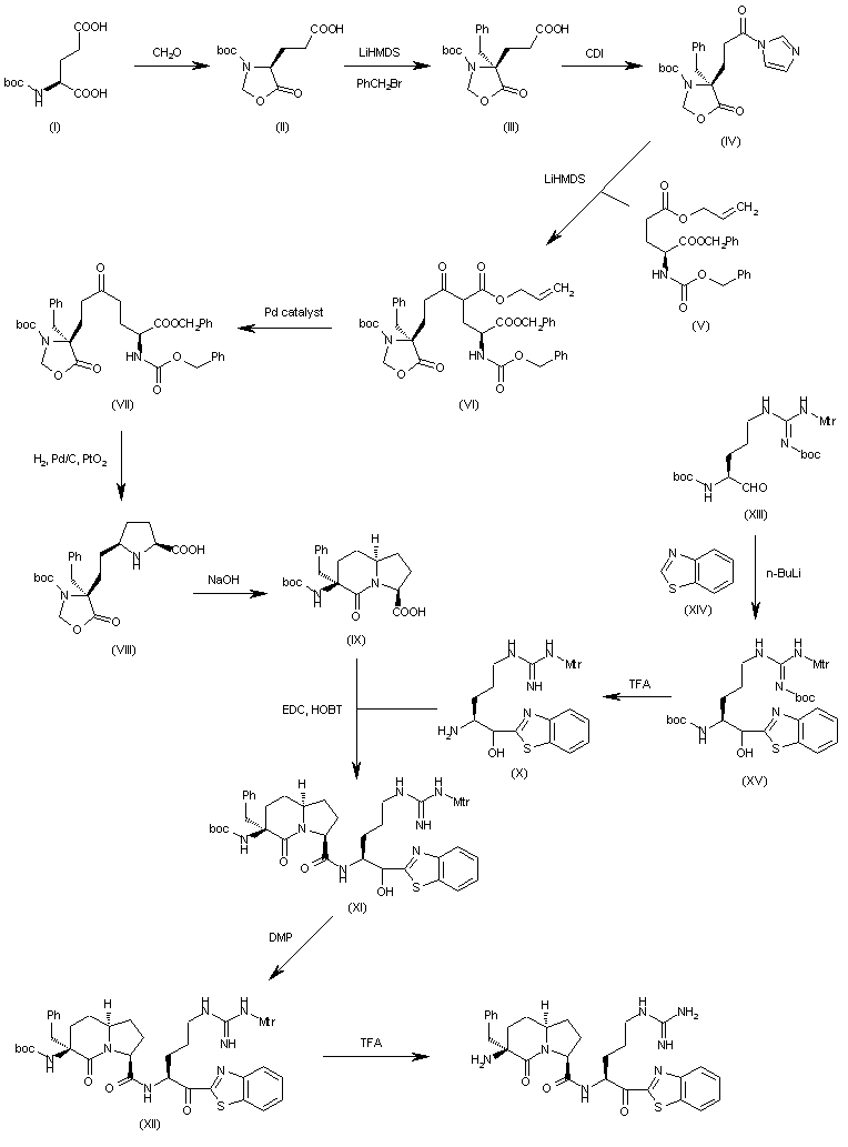
合成路线图解说明:

Condensation of L-phenylalanine methyl ester (V) with benzaldehyde gave aldimine (VI). Then, alkylation of (VI) with allyl bromide in the presence of LDA, and subsequent imine hydrolysis afforded the racemic alpha-allylphenylalanine methyl ester (VII), which was protected as the N-Boc derivative (VIII) upon treatment with Boc2O. Ozonolysis of the olefin group of (VIII), followed by reductive workup with Me2S yielded the aldehyde ester (IX). This was cyclized with hydrazine, affording pyridazinone (X), which was further hydrogenated over PtO2 to give (XI). The 1,3-dipolar cycloaddition of the iminium ion (XII), formed by treatment of (XI) with formaldehyde, and boiling ethyl acrylate furnished a mixture of pyrazolopyridazines (XIIIa-b). After chromatographic isolation of the racemic cis amino ester, its hydrolysis with LiOH yielded carboxylic acid (XIV). Coupling of (XIV) with aminoalcohol (IVa-b) using EDC and HOBt provided the corresponding amide (XVa-d) as a mixture of 4 diastereomers. Oxidation of the secondary alcohol of (XVa-d) with Dess-Martin periodinane gave the diastereomeric ketones (XVIa-b). Then, deprotection of (XVIa-b) by means of trifluoroacetic acid, followed by separation of the isomers by HPLC furnished the title compound.

合成路线图解说明:

The reaction of phenylalanine methyl ester (I) with benzaldehyde (II) and TEA in dichloromethane gives the aldimine (III), which is condensed with allyl bromide (IV) by means of n-BuLi in THF yielding the adduct (V). Treatment of (V) with HCl in methanol cleaves the benzylidene protecting group to afford the alpha-allylphenylalanine methyl ester (VI), which is reprotected with Boc2O and NaHCO3 in THF providing the carbamate (VII). The ozonolysis of (VII) with O3 in MeOH/CH2Cl2 gives the aldehyde (VIII), which is cyclized with hydrazine in refluxing THF yielding the tetrahydropyridazinone (IX). Hydrogenation of (IX) with H2 over PtO2 in methanol affords the hexahydropyridazinone (X), which is cyclocondensed with ethyl acrylate (XI) and formaldehyde to furnish the pyrazolopyridazine (XII). Hydrolysis of the ester group of (XII) with LiOH in THF/water gives the acid (XIII), which is finally condensed with the argininol derivative (XIV) by means of EDC, HOBT and DIEA in THF yielding the corresponding amide (XV). Finally, the secondary alcohol of (XV) is oxidized with Dess Martin periodinane (DMP) to afford, after working up, a diastereomeric mixture of amides, from which the target diastereomer is obtained by HPLC chromatography.

合成路线图解说明:

The intermediate argininol derivative (XIV) has been obtained by condensation of N-omega(4-methoxytrityl)-L-argininal (XVI) with benzothiazole (XVII) by means of n-BuLi in ethyl ether.

合成路线图解说明:

The cyclization of N-Boc-L-glutamic acid (I) with paraformaldehyde in refluxing DCE gives the oxazolidinone (II), which is benzylated with benzyl bromide and LiHMDS in THF yielding the benzyl derivative (III). The reaction of (II) with CDI in THF affords the activated acid (IV), which is condensed with the protected glutamic acid (V) by means of LiHMDS in THF to provide the adduct (VI). The decarboxylation of the allyloxycarbonyl group of (VI) by means of a Pd catalyst furnishes the compound (VII), which is deprotected and cyclized by hydrogenation with H2 over Pd/C and PtO2 to give the substituted proline (VIII). The lactam cyclization of (VIII) by means of NaOH in methanol, followed by crystallization yields the bicyclic carboxylic acid (IX), which is condensed with the arginine derivative (X) by means of EDC, HOBT and DIEA in THF affording the adduct (XI). The oxidation of the OH group of (XI) with DMP in dichloromethane gives the precursor (XII), which is finally deprotected by a treatment with TFA and PhS-Me. The intermediate arginine derivative (X) has been obtained as follows: The condensation of the fully protected arginine aldehyde derivative (XIII) with benzothiazole (XIV) by means of n-BuLi in ethyl ether gives the adduct (XV), which is then treated with TFA in order to eliminate the Boc protecting groups and furnish the desired arginine derivative intermediate (X).

Drug Information Express,Drug R&D,Chemical Database,Patent Search.
Copyright © 2006-2026 Drug Future. All rights reserved.Contact Us