【药物名称】SA-627
化学结构式(Chemical Structure):
参考文献No.530494
标题:Non-peptide corticotropin-releasing hormone antago
作者:Arvanitis, A.G.; Gilligan, P.J.; Chorvat, R.J.; Cheeseman, R.S.; Christos, T.E.; Bakthavatchalam, R.; Beck, J.P.; Cocuzza, A.J.; Hobbs, F.W.; Wilde, R.G.; Arnold, C.; Chidester, D.; Curry, M.; He, L.; Hollis, A.; Klaczkiewicz, J.; Krenitsky, P.J.; et al.
来源:J Med Chem 1999,42(5),805
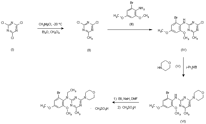
合成路线图解说明:

Treatment of cyanuric chloride (I) with methylmagnesium chloride afforded 2,4-dichloro-6-methyltriazine (II), which was condensed with aniline (III) to produce the anilinotriazine (IV). Subsequent displacement of the remaining chlorine atom of (IV) with morpholine (V) provided (VI). The target compound was then obtained by N-alkylation with iodoethane in the presence of NaH, followed by conversion to the methanesulfonate salt).

Drug Information Express,Drug R&D,Chemical Database,Patent Search.
Copyright © 2006-2026 Drug Future. All rights reserved.Contact Us