【药物名称】SC-241
化学结构式(Chemical Structure):
参考文献No.530492
标题:Synthesis, corticotropin-releasing factor receptor
作者:Chorvat, R.J.; Bakthavatchalam, R.; Beck, J.P.; Gilligan, P.J.; Wilde, R.G.; Cocuzza, A.J.; Hobbs, F.W.; Cheeseman, R.S.; Curry, M.; Rescinito, J.P.; Krenitsky, P.; Chidester, D.; Yarem, J.A.; Klaczkiewicz, J.D.; Hodge, C.N.; Aldrich, P.E.; et al.
来源:J Med Chem 1999,42(5),833
合成路线图解说明:

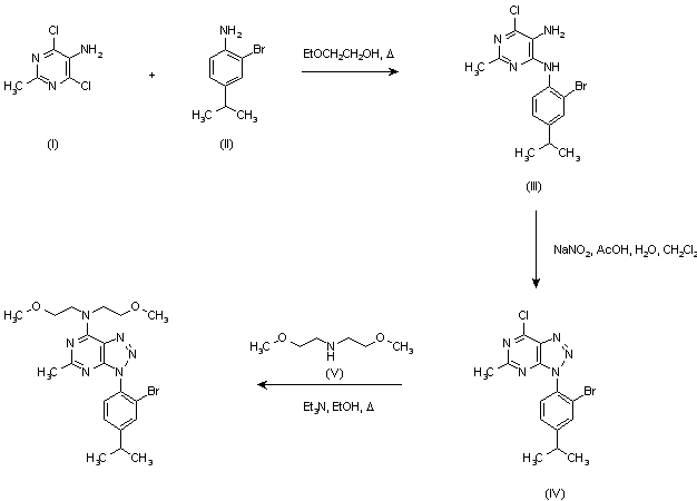
Condensation of 5-amino-4,6-dichloro-2-methylpyrimidine (I) and 2-bromo-4-isopropylaniline (II) in boiling ethoxyethanol gave diarylamine (III). Subsequent diazotization of (III) using NaNO2 and AcOH produced the triazolopyrimidine (IV), which was finally condensed with bis(2-methoxyethyl)amine (V) in the presence of Et3N in refluxing EtOH to provide the title compound.

Drug Information Express,Drug R&D,Chemical Database,Patent Search.
Copyright © 2006-2026 Drug Future. All rights reserved.Contact Us