【药物名称】MDL-104903
化学结构式(Chemical Structure):
参考文献No.30541
标题:Substd. oxazolidine calpain and/or cathepsin B inhibitors
作者:Peet, N.P.; Mehdi, S.; Linnik, M.D.; Angelastro, M.R.; Kim, H.-O. (Aventis Pharmaceuticals, Inc.)
来源:EP 0802909; JP 1998512257; WO 9621655
合成路线图解说明:

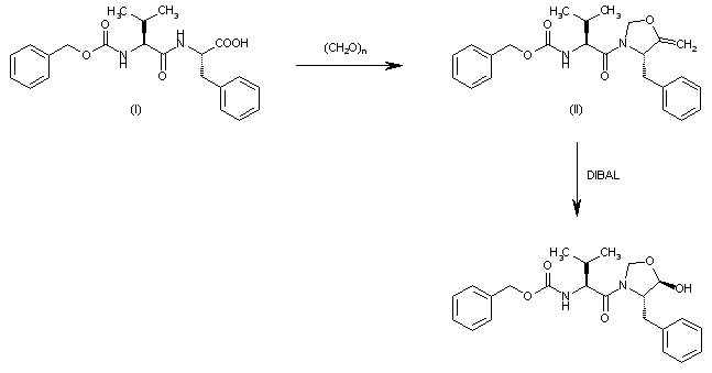
The reaction of benzyloxycarbonyl-L-valyl-L-phenylalanine (I) with paraformaldehyde and TsOH in refluxing benzene gives the oxazolidinone (II), which is reduced with DIBAL in toluene.

参考文献No.547894
标题:Hydroxyoxazolidines as alpha-aminoacetaldehyde equivalents: Novel inhibitors of calpain
作者:Peet, N.P.; Kim, H.O.; Marquart, A.L.; Angelastro, M.R.; Nieduzak, T.R.; White, J.N.; Friedrich, D.; Flynn, G.A.; Webster, M.E.; Vaz, R.J.; Linnik, M.D.; Koehl, J.R.; Mehdi, S.; Bey, P.; Emary, B.; Hwang, K.K.
来源:Bioorg Med Chem Lett 1999,9(16),2365
合成路线图解说明:

The reaction of benzyloxycarbonyl-L-valyl-L-phenylalanine (I) with paraformaldehyde and TsOH in refluxing benzene gives the oxazolidinone (II), which is reduced with DIBAL in toluene.

Drug Information Express,Drug R&D,Chemical Database,Patent Search.
Copyright © 2006-2026 Drug Future. All rights reserved.Contact Us