【药物名称】
化学结构式(Chemical Structure):
参考文献No.530499
标题:A new class of RAR subtype selective retinoids: Co
作者:Vuligonda, V.; Lin, Y.; Thacher, S.M.; Standeven, A.M.; Kochar, D.M.; Chandraratna, R.A..
来源:Bioorg Med Chem 1999,7(2),263
合成路线图解说明:

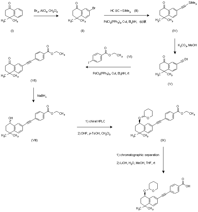
Bromination of tetralone (I) in the presence of AlCl3 provided (II), which was coupled with (trimethylsilyl)acetylene (III) using PdCl2(PPh3)2 and CuI as the catalysts yielding (IV). Removal of the protecting trimethylsilyl group from (IV) with K2CO3 in MeOH gave the arylacetylene (V), which was subjected to a second Pd-catalyzed coupling reaction with ethyl 4-iodobenzoate (VI) to furnish diarylacetylene (VII). Ketone group of (VII) was then reduced with NaBH4 to provide racemic alcohol (VIII), which was separated into the enantiomers employing chiral HPLC. Alternatively, enantioselective reduction using several chiral reducing agents furnished the enantiomerically enriched alcohols. The desired (R)-alcohol was condensed with dihydropyran in the presence of a catalytic amount of p-toluenesulfonic acid to yield a diastereomeric mixture of tetrahydropyranyl ethers (IX). After isolation by means of normal phase-HPLC, the (R,R)-isomer was finally hydrolyzed with LiOH to the target carboxylic acid.

Drug Information Express,Drug R&D,Chemical Database,Patent Search.
Copyright © 2006-2026 Drug Future. All rights reserved.Contact Us