【药物名称】FK-3657, FR-173657
化学结构式(Chemical Structure):
参考文献No.29947
标题:Pyridopyrimidones, quinolines and fused N-heterocycles as bradykinin antagonists
作者:Oku, T.; Kayakiri, H.; Satoh, S.; Abe, Y.; Sawada, Y.; Inoue, T.; Tanaka, H. (Fujisawa Pharmaceutical Co., Ltd.)
来源:EP 0807105; JP 1998507764; WO 9613485
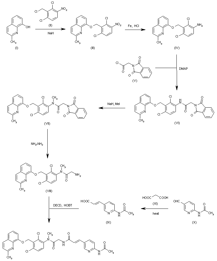
合成路线图解说明:

The condensation of 2-methylquinolin-8-ol (I) with 2,6-dichloro-3-nitrobenzyl chloride (II) by means of NaH in DMF gives the corresponding benzyl ether (III), which is reduced with Fe and HCl in methanol/water to the aniline (IV). The acylation of (IV) with 2-phthalimidoacetyl chloride (V) by means of DMAP and pyridine yields the amide (VI), which is methylated at the amidic nitrogen with NaH and methyl iodide in DMF to the N-methylanilide (VII). Elimination of the phthalimido group of (VII) with hydrazine in refluxing ethanol affords the glycine anilide (VIII), which is acylated with the acrylic acid (IX) by means of 1-[3-dimethylamino)propyl]-3-ethylcarbodiimide (DECD) and HOBT in DMF. The intermediate substituted acrylic acid (IX) has been obtained by reaction of 6-acetamidopyridine-3-carbaldehyde (X) with malonic acid and pyridine in refluxing ethanol.

合成路线图解说明:

The target FR-165649 has been obtained by condensation of cinnamic acid (V) with amine (XIII) using EDC and HOBt as coupling agents. The two intermediates (V) and (XIII) have been obtained as follows: 1) Wittig reaction of 4-formylbenzoic acid (I) and methyl (triphenylphosphoranylidene)acetate (II) in THF gave methyl 4-carboxycinnamate (III), which was converted into amide (IV) by reaction with methylamine hydrochloride in the presence of EDC and HOBt. Further hydrolysis of the ester group with NaOH provided 4-(methylcarbamoyl)cinnamic acid (V). 2) The alkylation of 8-hydroxy-2-methylquinoline (VI) with benzylic chloride (VII) in the presence of NaH and a catalytic amount of tetrabutylammonium iodide in DMF afforded ether (VIII). Subsequent reduction of the nitro group with iron powder and HCl in refluxing aqueous methanol gave amine (IX), which was coupled with phthalimidoacetyl chloride (X) in the presence of DMAP in a mixture of N-methylpyrrolidone and pyridine to yield amide (XI). Then, alkylation at the amide N with CH3I and NaH provided (XII), and further hydrazinolysis of the phthalimido group yielded the primary amine (XIII). Finally, the target amide was obtained by condensation of cinnamic acid (V) with amine (XIII) using EDC and HOBt as the coupling reagents.

Drug Information Express,Drug R&D,Chemical Database,Patent Search.
Copyright © 2006-2026 Drug Future. All rights reserved.Contact Us