【药物名称】S-22153
化学结构式(Chemical Structure):
参考文献No.30377
标题:Alkyl(hetero)cyclic cpds., process for their preparation and pharmaceutical compsns. containing them
作者:Lesieur, D.; Fourmaintraux, E.; Depreux, P.; Delagrange, P.; Renard, P.; Guardiola-Lema顃re, B. (ADIR et Cie.)
来源:CA 2167039; CA 2167040; EP 0721938; EP 0721947; FR 2729147; JP 1996231530; JP 1996239353; US 5693665; US 5703121; US 5780512
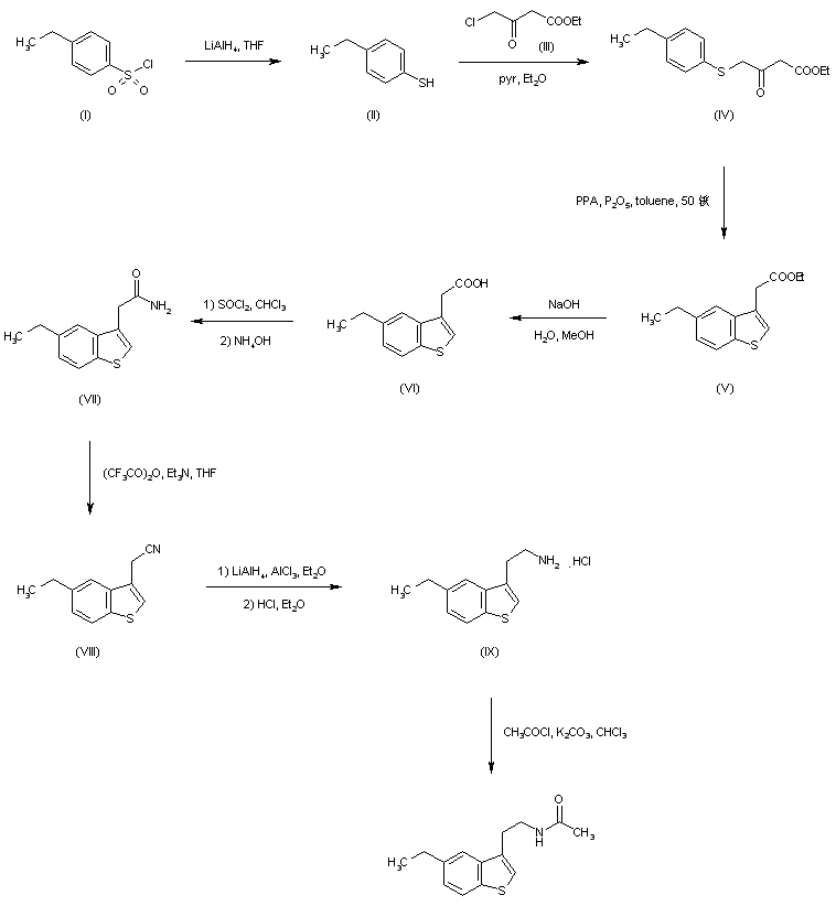
合成路线图解说明:

Thiol (II) was prepared by reduction of 4-ethylbenzenesulfonyl chloride (I) with LiAlH4. Subsequent alkylation of (II) with ethyl 4-chloroacetoacetate (III) provided sulfide (IV), which was cyclized to the required benzothiophene (V) on heating with polyphosphoric acid in toluene. Basic hydrolysis of the ester group of (V) gave carboxylic acid (IV). After conversion of (VI) to the corresponding acid chloride with SOCl2, treatment with NH4OH yielded amide (VII). This was dehydrated to nitrile (VIII) using trifluoroacetic anhydride and triethylamine. Reduction of the nitrile function of (VIII) by means of LiAlH4 and AlCl3 gave rise to the corresponding primary amine, which was isolated as the hydrochloride salt (IX). Finally, acylation with acetyl chloride furnished the title acetamide.

Drug Information Express,Drug R&D,Chemical Database,Patent Search.
Copyright © 2006-2026 Drug Future. All rights reserved.Contact Us