【药物名称】SB-224289
化学结构式(Chemical Structure):
参考文献No.458792
标题:The selective 5-HT1B receptor inverse agonist 1'-methyl-5-[[2'-methyl-4'-(5-methyl-1,2, 4-oxadiazol-3-yl)biphenyl-4-yl]carbonyl]-2,3,6, 7-tetrahydrospiro[furo[2,3-f]indole-3,4'-piperidine] (SB-224289) potently blocks terminal 5-HT autoreceptor function b
作者:Gaster, L.M.; Blaney, F.E.; Davies, S.; Duckworth, D.M.; Ham, P.; Jenkins, S.; Jennings, A.J.; Joiner, G.F.; King, F.D.; Mulholland, K.R.; Wyman, P.A.; Hagan, J.J.; Hatcher, J.; Jones, B.J.; Middlemiss, D.N.; Price, G.W.; Riley, G.; Roberts, C.; et al.
来源:J Med Chem 1998,41(8),1218
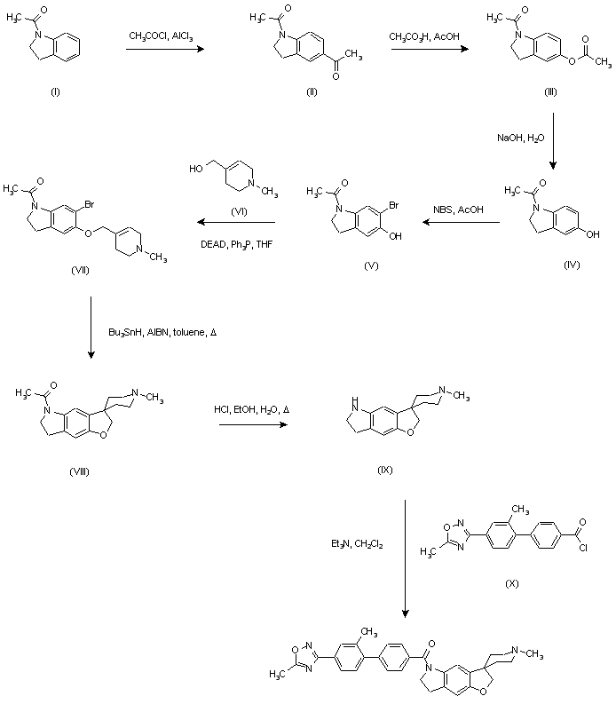
合成路线图解说明:

Friedel-Crafts acylation of 1-acetylindoline (I) with acetyl chloride and AlCl3 afforded ketone (II). Subsequent Baeyer-Villiger rearrangement using peracetic acid yielded acetate ester (III), which was hydrolyzed with NaOH to give phenol (IV). Bromination of (IV) with NBS in AcOH then provided bromo hydroxy indoline (V). Alkylation with 1-methyl-tetrahydropyridine-4-methanol (VI) under Mitsunobu conditions produced ether (VII). This was cyclized to the spirocyclic compound (VIII) using AIBN and tributyltin hydride in refluxing benzene. Then, amide hydrolysis in hydroalcoholic HCl gave (IX), which was finally condensed with acid chloride (X) to provide the desired amide.

参考文献No.475568
标题:SB-224289 - a highly selective 5-HT1B receptor inverse agonist
作者:Gaster, L.; et al.
来源:15th European Federation for Medicinal Chemistry International Symposium on Medicinal Chemistry (Sept 6 1998, Edinburgh) 1998,Abst P.259
合成路线图解说明:

Friedel-Crafts acylation of 1-acetylindoline (I) with acetyl chloride and AlCl3 afforded ketone (II). Subsequent Baeyer-Villiger rearrangement using peracetic acid yielded acetate ester (III), which was hydrolyzed with NaOH to give phenol (IV). Bromination of (IV) with NBS in AcOH then provided bromo hydroxy indoline (V). Alkylation with 1-methyl-tetrahydropyridine-4-methanol (VI) under Mitsunobu conditions produced ether (VII). This was cyclized to the spirocyclic compound (VIII) using AIBN and tributyltin hydride in refluxing benzene. Then, amide hydrolysis in hydroalcoholic HCl gave (IX), which was finally condensed with acid chloride (X) to provide the desired amide.

Drug Information Express,Drug R&D,Chemical Database,Patent Search.
Copyright © 2006-2026 Drug Future. All rights reserved.Contact Us