【药物名称】Tilmacoxib, JTE-522
化学结构式(Chemical Structure):
参考文献No.30338
标题:Heteroaromatic oxazole cpds. and use thereof
作者:Haruta, J.; Hashimoto, H.; Matsushita, M. (Japan Tobacco Inc.)
来源:EP 0745596; EP 0826676; JP 1996325249; JP 1997052882; US 5994381; WO 9619462; WO 9619463
合成路线图解说明:

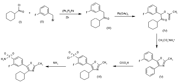
The condensation of cyclohexanecarbonyl chloride (I) with 3-fluorobenzyl bromide (II) by means of tetrakis(triphenylphosphine)palladium and Zn in dimethoxyethane gives the ethanone (III), which is treated with lead tetraacetate in acetic acid, yielding the alpha-acetoxyethanone (IV). The cyclization of (IV) with ammonium acetate in refluxing acetic acid affords the oxazole derivative (V), which is treated with chlorosulfonic acid at 100 C, yielding the 4-chlorosulfonyl derivative (VI). Finally, this compound is amidated with ammonia in THF/water.

参考文献No.462862
标题:JTE-522
作者:Silvestre, J.S.; Leeson, P.A.; Casta馿r, J.
来源:Drugs Fut 1998,23(6),598
合成路线图解说明:

The condensation of cyclohexanecarbonyl chloride (I) with 3-fluorobenzyl bromide (II) by means of tetrakis(triphenylphosphine)palladium and Zn in dimethoxyethane gives the ethanone (III), which is treated with lead tetraacetate in acetic acid, yielding the alpha-acetoxyethanone (IV). The cyclization of (IV) with ammonium acetate in refluxing acetic acid affords the oxazole derivative (V), which is treated with chlorosulfonic acid at 100 C, yielding the 4-chlorosulfonyl derivative (VI). Finally, this compound is amidated with ammonia in THF/water.

参考文献No.659977
标题:4-(4-Cycloalkyl/aryl-oxazol-5-yl)benzenesulfonamides as selective cyclooxygenase-2 inhibitors: Enhancement of the selectivity by introduction of a fluorine atom and identification of a potent, highly selective, and orally active COX-2 inhibitor JTE-522
作者:Hashimoto, H.; Imamura, K.; Haruta, J.; Wakitani, K.
来源:J Med Chem 2002,45(7),1511
合成路线图解说明:

The condensation of cyclohexanecarbonyl chloride (I) with 3-fluorobenzyl bromide (II) by means of tetrakis(triphenylphosphine)palladium and Zn in dimethoxyethane gives the ethanone (III), which is treated with lead tetraacetate in acetic acid, yielding the alpha-acetoxyethanone (IV). The cyclization of (IV) with ammonium acetate in refluxing acetic acid affords the oxazole derivative (V), which is treated with chlorosulfonic acid at 100 C, yielding the 4-chlorosulfonyl derivative (VI). Finally, this compound is amidated with ammonia in THF/water.

Drug Information Express,Drug R&D,Chemical Database,Patent Search.
Copyright © 2006-2026 Drug Future. All rights reserved.Contact Us