【药物名称】NKT-343, SDZ-NKT-343
化学结构式(Chemical Structure):
参考文献No.563511
标题:Process development of (2-nitrophenylcarbamoyl)-(S)-prolyl-(S)-3-(2-naphthyl)alanyl-N-benzyl-N-methylamide (SDZ NKT343)
作者:Prashad, M.; et al.
来源:Org Process Res Dev 1999,3(6),409
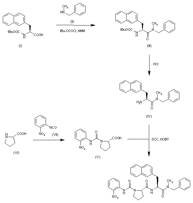
合成路线图解说明:

The reaction of N-(tert-butoxycarbonyl)-L-(2-naphthyl)alanine (I) with N-methylbenzyamine (II) by means of isobutyl chloroformate and NMM in dichloromethane gives the corresponding amide (III), which is deprotected with HCl in dioxane yielding (IV) with a free amino group. Finally, this compound is condensed with 1-[N-(2-nitrophenyl)carbamoyl]-L-proline (V) by means of HOBT and DCC in THF. The intermediate 1-[N-(2-nitrophenyl)carbamoyl]-L-proline (V) has been obtained by reaction of L-proline (VI) with 2-nitrophenyl isocyanate (VII) by means of NMM in THF/water.

Drug Information Express,Drug R&D,Chemical Database,Patent Search.
Copyright © 2006-2026 Drug Future. All rights reserved.Contact Us