【药物名称】TAK-778-SR, TAK-778
化学结构式(Chemical Structure):
参考文献No.30280
标题:Optically active benzothiepine deriv., its preparation and use
作者:Sohda, T.; Taketomi, S.; Oda, T. (Takeda Chemical Industries, Ltd.)
来源:CA 2166152; EP 0719782; JP 1996231569; JP 1997183784
合成路线图解说明:

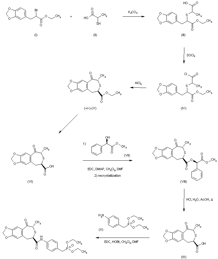
Condensation of halo ester (I) with 2-mercaptopropionic acid (II) provided thioether (III). After conversion of the carboxylic acid group of (III) into acid chloride (IV), Friedel-Crafts cyclization yielded the racemic trans benzothiepinone (V). Subsequent ester hydrolysis gave carboxylic acid (VI). The required (2R,4S) enantiomer (IX) was then isolated by condensation with methyl (R)-mandelate (VII), followed by recrystallization of the diastereoisomeric ester (VIII) from ethyl acetate-hexane, and further hydrolysis with HCl in AcOH. Finally, coupling of (IX) with diethyl 4-aminobenzylphosphonate (X) by means of EDC and HOBt furnished the title compound.

参考文献No.31925
标题:Osteogenetic promoting pharmaceutical compsn.
作者:Hoshino, T.; Muranishi, H.; Taketomi, S.; Iwasa, S. (Takeda Chemical Industries, Ltd.)
来源:JP 1997263545; WO 9639134
合成路线图解说明:

Condensation of halo ester (I) with 2-mercaptopropionic acid (II) provided thioether (III). After conversion of the carboxylic acid group of (III) into acid chloride (IV), Friedel-Crafts cyclization yielded the racemic trans benzothiepinone (V). Subsequent ester hydrolysis gave carboxylic acid (VI). The required (2R,4S) enantiomer (IX) was then isolated by condensation with methyl (R)-mandelate (VII), followed by recrystallization of the diastereoisomeric ester (VIII) from ethyl acetate-hexane, and further hydrolysis with HCl in AcOH. Finally, coupling of (IX) with diethyl 4-aminobenzylphosphonate (X) by means of EDC and HOBt furnished the title compound.

参考文献No.476268
标题:Synthesis of novel 2-benzothiopyran and 3-benzothiepin derivatives and their stimulatory effect on bone formation
作者:Oda, T.; et al.
来源:Symp Med Chem 1998,Abst 2-P-31
合成路线图解说明:

Condensation of halo ester (I) with 2-mercaptopropionic acid (II) provided thioether (III). After conversion of the carboxylic acid group of (III) into acid chloride (IV), Friedel-Crafts cyclization yielded the racemic trans benzothiepinone (V). Subsequent ester hydrolysis gave carboxylic acid (VI). The required (2R,4S) enantiomer (IX) was then isolated by condensation with methyl (R)-mandelate (VII), followed by recrystallization of the diastereoisomeric ester (VIII) from ethyl acetate-hexane, and further hydrolysis with HCl in AcOH. Finally, coupling of (IX) with diethyl 4-aminobenzylphosphonate (X) by means of EDC and HOBt furnished the title compound.

参考文献No.538141
标题:Synthesis of novel 2-benzothiopyran and 3-benzothiepin derivatives and their stimulatory effect on bone formation
作者:Oda, T.; Notoya, K.; Gotoh, M.; Taketomi, S.; Fujisawa, Y.; Makino, H.; Sohda, T.
来源:J Med Chem 1999,42(4),751
合成路线图解说明:

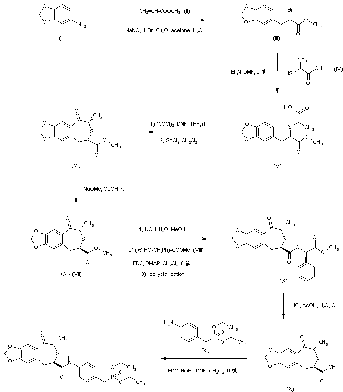
The diazonium salt prepared from 3,4-methylenedioxyaniline (I) was coupled to methyl acrylate (II) in the presence of Cu2O and HBr to produce the 2-bromo-3-phenylpropionic ester (III). Subsequent displacement of the bromo group of (III) by alpha-mercaptopropionic acid (IV) gave sulfide (V). After conversion of (V) to the corresponding acid chloride with (COCl)2, intramolecular Friedel-Crafts cyclization in the presence of SnCl4 afforded the benzothiepinone (VI) as a mixture of cis and trans isomers. Further treatment of this mixture with sodium methoxide equilibrated the mixture to the more stable trans form (VII). Resolution of the racemic trans ester was achieved by basic hydrolysis, coupling to ethyl (R)-(-)-mandelate (VIII), and fractional crystallization of the desired diastereomer (IX) from EtOAc-hexane. Ester hydrolysis of (IX) under acidic conditions led to the chiral carboxylic acid (X), which was finally condensed with diethyl 4-aminobenzylphosphonate (XI) to furnish the title compound.

Drug Information Express,Drug R&D,Chemical Database,Patent Search.
Copyright © 2006-2026 Drug Future. All rights reserved.Contact Us