【药物名称】ONO-AP-324
化学结构式(Chemical Structure):
参考文献No.30272
标题:Naphthyloxyacetic acid derivs. and their use as PGE2 agonists and antagonists
作者:Nagao, Y.; Torisu, K.; Maruyama, T. (Ono Pharmaceutical Co., Ltd.)
来源:EP 0719760; JP 1996239356
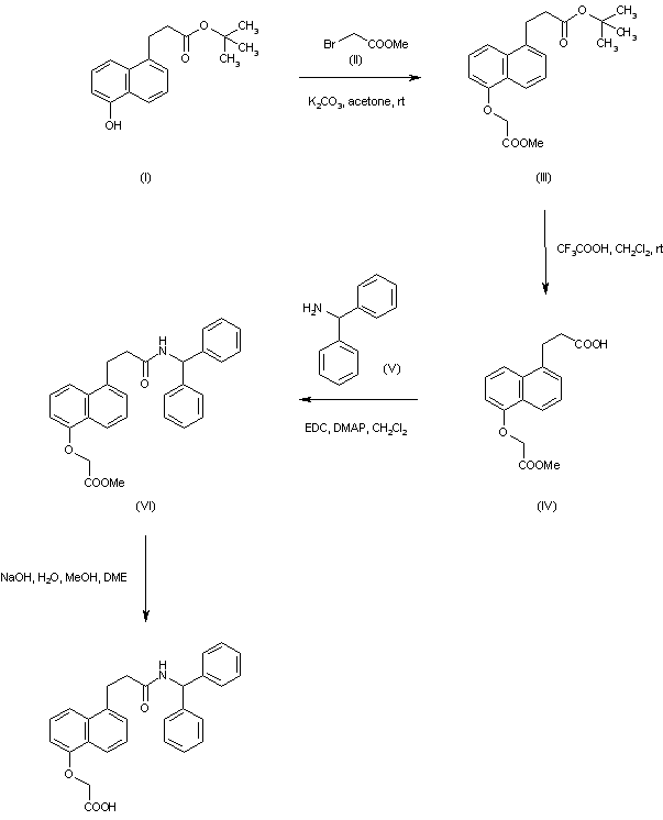
合成路线图解说明:

Alkylation of tert-butyl (5-hydroxy-2-naphthyl)propionate (I) with methyl bromoacetate (II) in the presence of K2CO3 provided ether (III). Subsequent deprotection of the tert-butyl ester of (III) using trifluoroacetic acid in CH2Cl2 gave carboxylic acid (IV). This was coupled to benzhydrylamine in the presence of EDC and DMAP to afford amide (VI). Finally, ester hydrolysis of (IV) with NaOH yielded the target compound.

Drug Information Express,Drug R&D,Chemical Database,Patent Search.
Copyright © 2006-2026 Drug Future. All rights reserved.Contact Us