【药物名称】
化学结构式(Chemical Structure):
参考文献No.530503
标题:Medium sized lactones with hyplipidaemic and antio
作者:Baldazzi, C.; Calderon, F.; Marotta, E.; Piani, S.; Righi, P.; Rosini, G.; Saguatti, S.; Tiozzo, R.; Calandra, S.; Venturelli, F.
来源:Bioorg Med Chem 1999,7(2),411
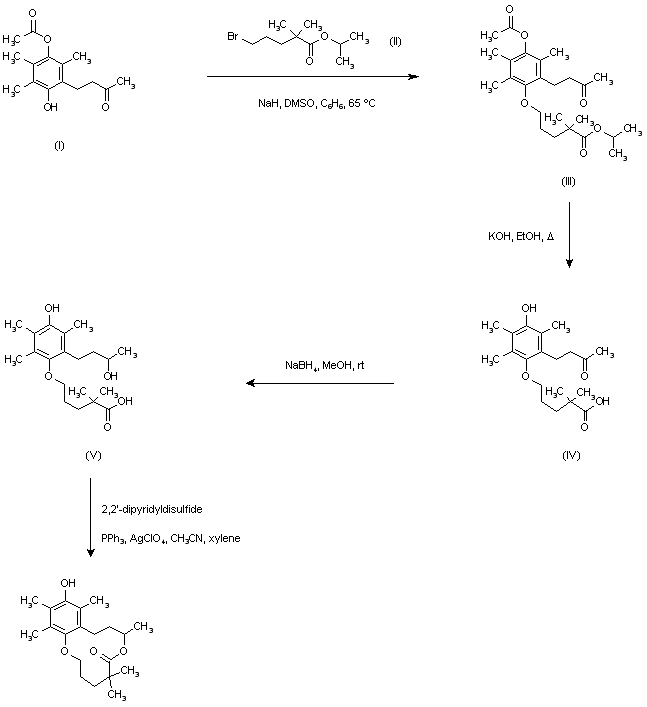
合成路线图解说明:

Arylpentanone (I), which was in equilibrium with its hemiacetal cyclic form, was alkylated with isopropyl 5-bromo-2,2-dimethyl-pentanoate (II) in the presence of NaH to afford ether (III). After saponification of the isopropyl and acetate esters of (III) with ethanolic KOH, the resulting ketoacid (IV) was reduced with NaBH4 to yield hydroxyacid (V). Finally, cyclization of (V) using 2,2'-dipyridyl disulfide, triphenylphosphine and silver perchlorate produced the target macrocyclic lactone.

合成路线图解说明:

Arylbutanone (I), which was in equilibrium with its hemiacetal cyclic form, was alkylated with isopropyl 5-bromo-2,2-dimethyl-pentanoate (II) in the presence of NaH to afford ether (III). After saponification of the isopropyl and acetate esters of (III) with ethanolic KOH, the resulting ketoacid (IV) was reduced with NaBH4 to yield hydroxyacid (V). Finally, cyclization of (V) using 2,2'-dipyridyl disulfide, triphenylphosphine and silver perchlorate produced the target macrocyclic lactone.

Drug Information Express,Drug R&D,Chemical Database,Patent Search.
Copyright © 2006-2026 Drug Future. All rights reserved.Contact Us