【药物名称】KT-8391, CEP-2563
化学结构式(Chemical Structure):
参考文献No.22966
标题:Bis-staurosporine and K-252a derivs.
作者:Lewis, M.E.; Neff, N.; Roberts-Lewis, J.; Murakata, C.; Saito, H.; Matsuda, Y.; Kauer, J.C. (Cephalon, Inc.; Kyowa Hakko Kogyo Co., Ltd.)
来源:EP 0651754; EP 0768312; JP 1996501081; US 5461146; WO 9402488
合成路线图解说明:

Preparation of intermediate (VI) has been reported by two related ways. The nonselective methylation of alkaloid K252a (V) with methyl iodide in the presence of NaH yielded the required O-methyl compound (VI) along with the N-methyl and the N,O-dimethyl derivatives, which were separated by silica gel chromatography. A large-scale process for the regioselective synthesis of ether (VI) was further developed. Selective protection of the amide group of (V) with tert-butyldimethylsilyl chloride gave the N-silyl derivative (VII), which was O-methylated with methyl iodide to afford methyl ether (VIII). Desilylation under acidic conditions then gave (VI). Subsequent reduction of the ester group of (VI) with with NaBH4 in THF/MOH provided alcohol (IX). This was coupled with dipeptide (IV) using DCC and NMM to afford ester (X). The Boc protecting groups were finally cleaved by treatment with HCl in EtOAc.

参考文献No.29960
标题:Protein kinase inhibitors for treatment of neurological disorders
作者:Lewis, M.E.; Kauer, J.C.; Neff, N.; Glicksman, M.; Roberts-Lewis, J.; Murakata, C.; Saito, H.; Matsuda, Y.; Kanai, F.; Kaneko, M. (Cephalon, Inc.; Kyowa Hakko Kogyo Co., Ltd.)
来源:EP 0788501; JP 1998510514; WO 9613506; WO 9613506
合成路线图解说明:

The synthesis of the title compound used as the starting material was the indolocarbazole alkaloid K-252A (I). Compound (I) was protected as the diacetyl derivative (II) by treatment with Ac2O and DMAP. Formylation of (II) with dichloromethyl methyl ether in the presence of TiCl4 afforded dialdehyde (III), which was further reduced to diol (IV) using NaBH4 in MeOH-CHCl3. Condensation of diol (IV) with ethanethiol in the presence of camphorsulfonic acid furnished the bis-sulfanyl compound (V). The acetyl protecting groups of (V) were finally removed by treatment with sodium methoxide. Alternatively, diol (IV) was first deacetylated by treatment with NaOMe, and the deprotected bis(hydroxymethyl) compound (VI) was then condensed with ethanethiol to produce the title bis-sulfayl compound.

合成路线图解说明:

Preparation of intermediate (VI) has been reported by two related ways. The nonselective methylation of alkaloid K252a (V) with methyl iodide in the presence of NaH yielded the required O-methyl compound (VI) along with the N-methyl and the N,O-dimethyl derivatives, which were separated by silica gel chromatography. A large-scale process for the regioselective synthesis of ether (VI) was further developed. Selective protection of the amide group of (V) with tert-butyldimethylsilyl chloride gave the N-silyl derivative (VII), which was O-methylated with methyl iodide to afford methyl ether (VIII). Desilylation under acidic conditions then gave (VI). Subsequent reduction of the ester group of (VI) with with NaBH4 in THF/MOH provided alcohol (IX). This was coupled with dipeptide (IV) using DCC and NMM to afford ester (X). The Boc protecting groups were finally cleaved by treatment with HCl in EtOAc.

合成路线图解说明:

The known K-252a (I) was protected as its diacetyl derivative (II) by treatment with Ac2O in the presence of DMAP. Diacetyl-K-255a (II) was converted to 3,9-dialdehyde (III) by formylation with dichloromethyl methyl ether and TiCl4. After NaBH4 reduction of dialdehyde (III) to the corresponding diol (IV), the acetyl groups were deprotected using catalytic NaOMe in MeOH. The deprotected diol (V) was finally condensed with 2-propanethiol in the presence of either camphorsulfonic acid or trifluoroacetic anhydride to furnish the target bis(thioether) derivative.

参考文献No.559325
标题:Synthetic process development of antitumor agent KT 6587, an indolocarbazole alkaloid K 252a derivative
作者:Kinugawa, M.; et al.
来源:Org Process Res Dev 1999,3(2),131
合成路线图解说明:

Preparation of intermediate (VI) has been reported by two related ways. The nonselective methylation of alkaloid K252a (V) with methyl iodide in the presence of NaH yielded the required O-methyl compound (VI) along with the N-methyl and the N,O-dimethyl derivatives, which were separated by silica gel chromatography. A large-scale process for the regioselective synthesis of ether (VI) was further developed. Selective protection of the amide group of (V) with tert-butyldimethylsilyl chloride gave the N-silyl derivative (VII), which was O-methylated with methyl iodide to afford methyl ether (VIII). Desilylation under acidic conditions then gave (VI). Subsequent reduction of the ester group of (VI) with with NaBH4 in THF/MOH provided alcohol (IX). This was coupled with dipeptide (IV) using DCC and NMM to afford ester (X). The Boc protecting groups were finally cleaved by treatment with HCl in EtOAc.

合成路线图解说明:

A new process, able for the large-scale preparation of the title compound has been developed. Selective N-silylation of the amide group of alkaloid (I) with tert-butyl dimethylsilyl chloride afforded (II). Subsequent O-methylation of (II) with iodomethane and LiOH gave methyl ether (III), which was desilylated to (IV) under aqueous acid conditions. Finally, reduction of the ester group of (IV) with NaBH4 afforded the title compound.

参考文献No.559612
标题:Prodrug esters of the indolocarbazole CEP-751 (KT-6587)
作者:Hudkins, R.L.; Iqbal, M.; Park, C.H.; Goldstein, J.; Herman, J.L.; Shek, E.; Murakata, C.; Mallamo, J.P.
来源:Bioorg Med Chem Lett 1998,8(14),1873
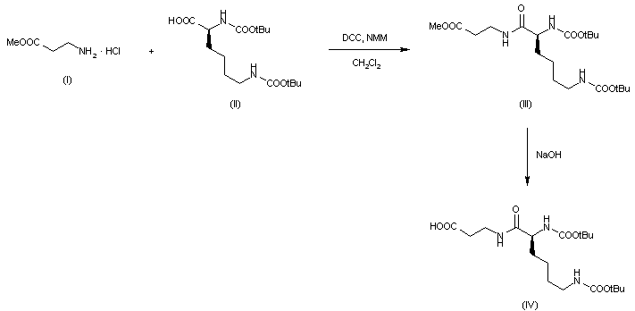
合成路线图解说明:

Intermediate (IV) was prepared by coupling of beta-alanine methyl ester (I) with di-Boc-lysine (II) to give the fully protected dipeptide (III), followed by basic hydrolysis of the methyl ester group.

合成路线图解说明:

Preparation of intermediate (VI) has been reported by two related ways. The nonselective methylation of alkaloid K252a (V) with methyl iodide in the presence of NaH yielded the required O-methyl compound (VI) along with the N-methyl and the N,O-dimethyl derivatives, which were separated by silica gel chromatography. A large-scale process for the regioselective synthesis of ether (VI) was further developed. Selective protection of the amide group of (V) with tert-butyldimethylsilyl chloride gave the N-silyl derivative (VII), which was O-methylated with methyl iodide to afford methyl ether (VIII). Desilylation under acidic conditions then gave (VI). Subsequent reduction of the ester group of (VI) with with NaBH4 in THF/MOH provided alcohol (IX). This was coupled with dipeptide (IV) using DCC and NMM to afford ester (X). The Boc protecting groups were finally cleaved by treatment with HCl in EtOAc.

Drug Information Express,Drug R&D,Chemical Database,Patent Search.
Copyright © 2006-2026 Drug Future. All rights reserved.Contact Us