【药物名称】Tanomastat, BAY-12-9566
化学结构式(Chemical Structure):
参考文献No.30023
标题:Substd. 4-biarylbutyric or 5-biarylpentanoic acids and derivs. as matrix metalloprotease inhibitors
作者:Kluender, H.C.E.; Benz, G.H.H.H.; Brittelli, D.R.; Bullock, W.H.; Combs, K.J.; Dixon, B.R.; Schneider, S.; Wood, J.E.; Vanzandt, M.C.; Wolanin, D.J.; Wilhelm, S.M. (Bayer AG)
来源:EP 0790974; JP 1998509146; US 5789434; US 5859047; WO 9615096
合成路线图解说明:

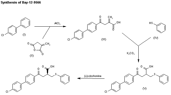
The Friedel-Crafts condensation of 4-chlorobiphenyl (I) with 3-methylenetetrahydrofuran-2,5-dione (II) by means of AlCl3 in tetrachloroethane gives 4-(4'-chlorobiphenyl-4-yl)-2-methylene-4-oxobutyric acid (III), which is treated with thiophenol (IV) and K2CO3 in DMF/water, yielding racemic 4-(4'-chlorobiphenyl-4-yl)-4-oxo-2-(phenylsulfanylmethyl)butyric acid (V). Finally, racemic (V) is resolved by means of crystallization with (+)-cinchonine in acetone.

参考文献No.483363
标题:Bay-12-9566
作者:Sorbera, L.A.; Casta馿r, J.; Graul, A.; Silvestre, J.S.
来源:Drugs Fut 1999,24(1),16
合成路线图解说明:

The Friedel-Crafts condensation of 4-chlorobiphenyl (I) with 3-methylenetetrahydrofuran-2,5-dione (II) by means of AlCl3 in tetrachloroethane gives 4-(4'-chlorobiphenyl-4-yl)-2-methylene-4-oxobutyric acid (III), which is treated with thiophenol (IV) and K2CO3 in DMF/water, yielding racemic 4-(4'-chlorobiphenyl-4-yl)-4-oxo-2-(phenylsulfanylmethyl)butyric acid (V). Finally, racemic (V) is resolved by means of crystallization with (+)-cinchonine in acetone.

Drug Information Express,Drug R&D,Chemical Database,Patent Search.
Copyright © 2006-2026 Drug Future. All rights reserved.Contact Us