【药物名称】
化学结构式(Chemical Structure):
参考文献No.487981
标题:Synthesis and evaluation of 2-amino-9-(1,3-dihydroxy-2-propoxymethyl)-6-fluoropurine mono- and diesters as potential prodrugs of ganciclovir
作者:Kim, D.-K.; Chang, K.; Im, G.-J.; Kim, H.-T.; Lee, N.; Kim, K.H.
来源:J Med Chem 1999,42(2),324
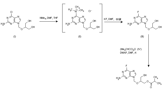
合成路线图解说明:

Treatment of 6-deoxy-6-chloroganciclovir (I) with trimethylamine in DMF-THF at low temperature produced the trimethylammonium salt (II), which was subsequently displaced with KF in DMF at 80 C under vacuum removal of the Me3N to afford the corresponding 6-fluoro derivative (III). Finally, monoacylation with one equivalent of isobutyric anhydride (IV) in the presence of DMAP provided the target ester.

Drug Information Express,Drug R&D,Chemical Database,Patent Search.
Copyright © 2006-2026 Drug Future. All rights reserved.Contact Us