【药物名称】BILA-2185-BS
化学结构式(Chemical Structure):
参考文献No.570675
标题:2'6'-Dimethylphenoxyacetyl: A new achiral high affinity P3-P2 ligand for peptidomimetic-based HIV protease inhibitors
作者:Beaulieu, P.L.; Anderson, P.C.; Cameron, D.R.; Croteau, G.; Gorys, V.; Grand-Maitre, C.; Lamarre, D.; Liard, F.; Paris, W.; Plamondon, L.; Soucy, F.; Thibeault, D.; Wernic, D.; Yoakim, C.; Pav, S.; Tong, L.
来源:J Med Chem 2000,43(6),1094
合成路线图解说明:

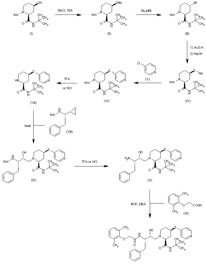
The reaction of (2S,4R)-1-(tert-butoxycarbonyl)-N-tert-butyl-4-hydroxypiperidine-2-carboxamide (I) with MsCl and TEA gives the mesylate (II), which is treated with tetrabutylammonium bromide in refluxing THF to yield the corresponding 4-bromo derivative (III). The reaction of (III) with potassium thioacetate, followed by hydrolysis with NaOH affords the sodium thiolate (IV), which is condensed with 4-chloropyridine (V) to provide (2S,4R)-1-(tert-butoxycarbonyl)-N-tert-butyl-4-(4-pyridylsulfanyl)piperidine-2-carboxamide (VI). The deprotection of (VI) with TFA or HCl in dioxane gives intermediate (VII), which is condensed with epoxide (VIII) in refluxing ethanol to obtain the expected addition compound (IX). The deprotection of (IX) with TFA or HCl as before yields the amide (X), which is finally condensed with 2-(2,6-dimethylphenoxy)acetic acid (XI) by means of BOP and DIEA to furnish the target diamide.

Drug Information Express,Drug R&D,Chemical Database,Patent Search.
Copyright © 2006-2026 Drug Future. All rights reserved.Contact Us