【药物名称】NSC-716976, BNP-7787, Tavocept, Mesna disulfide, Dimesna
化学结构式(Chemical Structure):
参考文献No.39203
标题:Compsn. of cisplatin in combination with 2,2'-dithio-bis(ethanesulfonate) (dimesna)
作者:Haridas, K.; Reddy, D.G.; Murali, D.; Hausheer, F.H. (BioNumerik Pharmaceuticals, Inc.)
来源:WO 9614852
合成路线图解说明:

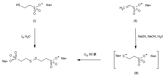
Oxidation of an aqueous solution of sodium 2-mercaptoethanesulfonate (I) with I2 provided the title disulfide. In a related procedure, addition of sodium hydrosulfide to the sodium salt of vinylsulfonic acid (II) gave intermediate (III) which, without isolation, was oxidized with O2 at 60 C under pressure.

参考文献No.39204
标题:Reducing toxic effects of carboplatin using dithioethers
作者:Hausheer, F.H.; Seetharamulu, P.; Murali, D.; Reddy, D.G.; Haridas, K. (BioNumerik Pharmaceuticals, Inc.)
来源:WO 9811898
合成路线图解说明:

Oxidation of an aqueous solution of sodium 2-mercaptoethanesulfonate (I) with I2 provided the title disulfide. In a related procedure, addition of sodium hydrosulfide to the sodium salt of vinylsulfonic acid (II) gave intermediate (III) which, without isolation, was oxidized with O2 at 60 C under pressure.

参考文献No.39205
标题:Process for making mesna, dimesna and derivs. thereof
作者:Haridas, K. (BioNumerik Pharmaceuticals, Inc.)
来源:US 5808140; WO 9814426
合成路线图解说明:

Oxidation of an aqueous solution of sodium 2-mercaptoethanesulfonate (I) with I2 provided the title disulfide. In a related procedure, addition of sodium hydrosulfide to the sodium salt of vinylsulfonic acid (II) gave intermediate (III) which, without isolation, was oxidized with O2 at 60 C under pressure.

参考文献No.700315
标题:Coviracil NDA accepted for filing by FDA
作者:
来源:J Org Chem 1961,261330-1331
合成路线图解说明:

Oxidation of an aqueous solution of sodium 2-mercaptoethanesulfonate (I) with I2 provided the title disulfide. In a related procedure, addition of sodium hydrosulfide to the sodium salt of vinylsulfonic acid (II) gave intermediate (III) which, without isolation, was oxidized with O2 at 60 C under pressure.

Drug Information Express,Drug R&D,Chemical Database,Patent Search.
Copyright © 2006-2026 Drug Future. All rights reserved.Contact Us