【药物名称】L-NIL-TA, SC-51
化学结构式(Chemical Structure):
参考文献No.30033
标题:Aminotetrazole derivs. useful as nitric oxide synthase inhibitors
作者:Hallinan, E.A.; Hansen, D.W. Jr.; Tsymbalov, S. (Pharmacia Corp.)
来源:EP 0790987; EP 1113011; JP 1998508847; US 5684008; WO 9615120
合成路线图解说明:

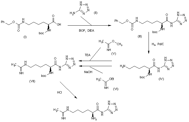
The reaction of N6-(benzyloxycarbonyl)-N2--(tert-butoxycarbonyl)-L-lysine (I) with 1H-tetrazol-5-amine (II) by means of BOP and DIEA or NMM in DMF gives the corresponding amide (III), which is hydrogenolyzed with H2 over Pd/C in etyhanol/HOAc to yield N2-(tert-butoxycarbonyl)-N1-(1H-tetrazol-5-yl)-L-lysine (IV). The reaction of (IV) with methyl acetimidate (V) by means of TEA in DMF (or ethyl acetimidate (VI) and NaOH in ethanol) affords the iminomethyl derivative (VII), which is finally deprotected with HCl in dioxane.

合成路线图解说明:

The N-tetrazolyl lysinamide derivative (III) was obtained by acylation of 5-aminotetrazole (II) with Boc-L-lysine(Cbz) (I) using BOP as the coupling reagent. The N-benzyloxycarbonyl protecting group of (III) was then removed by hydrogenation over Pd/C to afford amine (IV), which was subsequently condensed with methyl acetimidate (V) producing amidine (VI). The target compound was finally obtained by N-Boc group cleavage in (VI) under acidic conditions

参考文献No.661616
标题:Synthesis and biological characterization of L-N6-(1-iminoethyl)lysine 5-tetrazole-amide, a prodrug of a selective iNOS inhibitor
作者:Hallinan, E.A.; Tsymbalov, S.; Dorn, C.R.; Pitzele, B.S.; Hansen, D.W. Jr.; Moore, W.M.; Jerome, G.M.; Connor, J.R.; Branson, L.F.; Widomski, D.L.; Zhang, Y.; Currie, M.G.; Manning, P.T.
来源:J Med Chem 2002,45(8),1686
合成路线图解说明:

The reaction of N6-(benzyloxycarbonyl)-N2--(tert-butoxycarbonyl)-L-lysine (I) with 1H-tetrazol-5-amine (II) by means of BOP and DIEA or NMM in DMF gives the corresponding amide (III), which is hydrogenolyzed with H2 over Pd/C in etyhanol/HOAc to yield N2-(tert-butoxycarbonyl)-N1-(1H-tetrazol-5-yl)-L-lysine (IV). The reaction of (IV) with methyl acetimidate (V) by means of TEA in DMF (or ethyl acetimidate (VI) and NaOH in ethanol) affords the iminomethyl derivative (VII), which is finally deprotected with HCl in dioxane.

合成路线图解说明:

The N-tetrazolyl lysinamide derivative (III) was obtained by acylation of 5-aminotetrazole (II) with Boc-L-lysine(Cbz) (I) using BOP as the coupling reagent. The N-benzyloxycarbonyl protecting group of (III) was then removed by hydrogenation over Pd/C to afford amine (IV), which was subsequently condensed with methyl acetimidate (V) producing amidine (VI). The target compound was finally obtained by N-Boc group cleavage in (VI) under acidic conditions

Drug Information Express,Drug R&D,Chemical Database,Patent Search.
Copyright © 2006-2026 Drug Future. All rights reserved.Contact Us