【药物名称】FJ-776(formerly), SDZ-MKT-077, MKT-077
化学结构式(Chemical Structure):
参考文献No.33162
标题:Compsn. and method for treating cancer
作者:Shishido, T.; Chen, L.B. (Dana-Farber Cancer Institute; Fuji Photo Film Co., Ltd.)
来源:EP 0527494; US 5360803
合成路线图解说明:

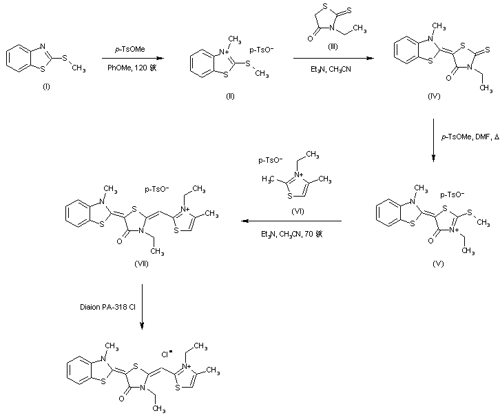
The alkylation of 2-(methylsulfanyl)benzothiazole (I) with methyl p-toluenesulfonate in anisole gives 3-methyl-2-(methylsulfanyl)benzothiazolium p-toluenesulfonate (II), which is condensed with 3-ethyl-2-thioxothiazolidin-4-one (III) by means of triethylamine in acetonitrile to yield 3-ethyl-5-(3-methyl-2,3-dihydrobenzothiazol-2-ylidene)-2-thioxothiazolidin-4-one (IV). The methylation of (IV) with methyl p-toluenesulfonate in DMF affords 3-ethyl-5-(3-methyl-2,3-dihydrobenzothiazol-2-ylidene)-2-(methylsulfanyl)-4-oxo-4,5-dihydrothiazolium p-toluenesulfonate (V) (1), which is condensed with 1-ethyl-2-methylpyridinium p-toluenesulfonate (VI) by means of triethylamine in warm acetonitrile giving the p-toluenesulfonate of MKT-077 (VII). Finally, this compound is passed through an ion-exchange resin (Amberlyst A-26) in methanol/chloroform.

参考文献No.442868
标题:MKT-077
作者:Wrobleski, T.; Casta馿r, J.; Graul, A.
来源:Drugs Fut 1998,23(1),24
合成路线图解说明:

The alkylation of 2-(methylsulfanyl)benzothiazole (I) with methyl p-toluenesulfonate in anisole gives 3-methyl-2-(methylsulfanyl)benzothiazolium p-toluenesulfonate (II), which is condensed with 3-ethyl-2-thioxothiazolidin-4-one (III) by means of triethylamine in acetonitrile to yield 3-ethyl-5-(3-methyl-2,3-dihydrobenzothiazol-2-ylidene)-2-thioxothiazolidin-4-one (IV). The methylation of (IV) with methyl p-toluenesulfonate in DMF affords 3-ethyl-5-(3-methyl-2,3-dihydrobenzothiazol-2-ylidene)-2-(methylsulfanyl)-4-oxo-4,5-dihydrothiazolium p-toluenesulfonate (V) (1), which is condensed with 1-ethyl-2-methylpyridinium p-toluenesulfonate (VI) by means of triethylamine in warm acetonitrile giving the p-toluenesulfonate of MKT-077 (VII). Finally, this compound is passed through an ion-exchange resin (Amberlyst A-26) in methanol/chloroform.

参考文献No.450534
标题:Structure-activity of novel rhodacyanine dyes as antitumor agents
作者:Ikegawa, A.; Kawakami, M.; Ogawa, K.; Shishido, T.; Chen, L.B.; Tatsuta, N.; Ukai, T.; Koya, K.
来源:J Med Chem 1998,41(1),130
合成路线图解说明:

The alkylation of 2-(methylsulfanyl)benzothiazole (I) with methyl p-toluenesulfonate in anisole gives 3-methyl-2-(methylsulfanyl)benzothiazolium p-toluenesulfonate (II), which is condensed with 3-ethyl-2-thioxothiazolidin-4-one (III) by means of triethylamine in acetonitrile to yield 3-ethyl-5-(3-methyl-2,3-dihydrobenzothiazol-2-ylidene)-2-thioxothiazolidin-4-one (IV). The methylation of (IV) with methyl p-toluenesulfonate in DMF affords 3-ethyl-5-(3-methyl-2,3-dihydrobenzothiazol-2-ylidene)-2-(methylsulfanyl)-4-oxo-4,5-dihydrothiazolium p-toluenesulfonate (V) (1), which is condensed with 1-ethyl-2-methylpyridinium p-toluenesulfonate (VI) by means of triethylamine in warm acetonitrile giving the p-toluenesulfonate of MKT-077 (VII). Finally, this compound is passed through an ion-exchange resin (Amberlyst A-26) in methanol/chloroform.

合成路线图解说明:

N-Methylation of 2-(methylsulfanyl)benzothiazole (I) using methyl p-toluenesulfonate afforded iminium salt (II), which was condensed with 3-ethyl-4-oxothiazolidine-2-thione (III) to give the benzothiazolinylidene dervative (IV). Subsequent S-methylation of (IV) to produce the 3-ethyl-2-(methylthio)thiazolinium salt (V) was followed by condensation with 2,4-dimethyl-3-ethylthiazolium salt (VI) in the presence of Et3N, yielding the triheterocyclic system (VIII) as the p-toluenesulfonate salt. Finally, conversion to the title chloride salt was achieved by means of an anionic exchange resin.

Drug Information Express,Drug R&D,Chemical Database,Patent Search.
Copyright © 2006-2026 Drug Future. All rights reserved.Contact Us