【药物名称】SNS-595, SPC-595, AG-7352
化学结构式(Chemical Structure):
参考文献No.28564
标题:Novel cpd., process for producing the same, and antitumor agent
作者:Tomita, K.; Chiba, K.; Kashimoto, S.; Shibamori, K.; Tsuzuki, Y. (Dainippon Pharmaceutical Co., Ltd.)
来源:EP 0787726; US 5817669; WO 9534559
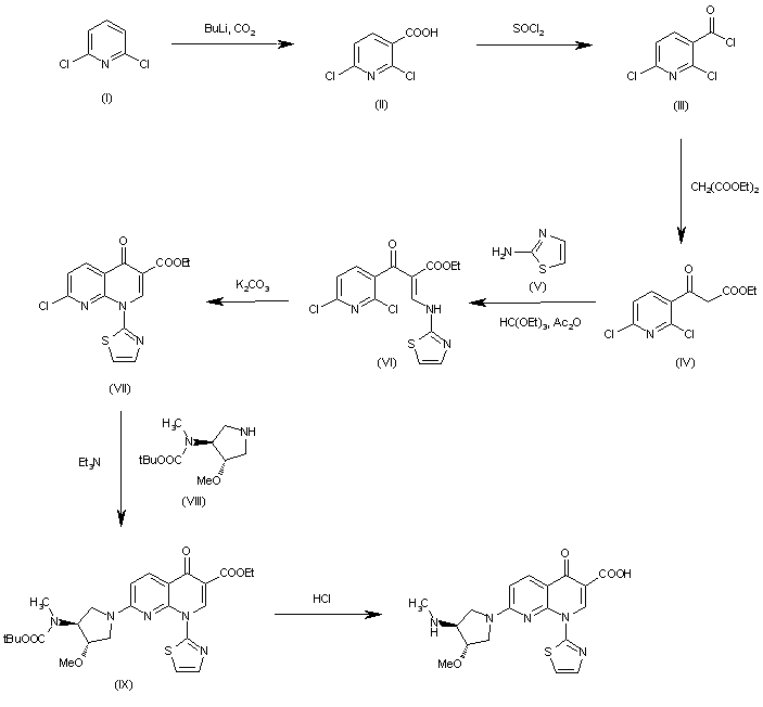
合成路线图解说明:

The reaction of 2,6-dichloropyridine (I) with BuLi and CO2 in THF gives 2,6-dichloropyridine-3-carboxylic acid (II) (1), which by reaction with refluxing SOCl2 yields the acyl chloride (III). The reaction of (III) with malonic ester by means of magnesium ethoxide in ethyl ether affords the nicotinoylacetic ester (IV), which is condensed with thiazol-2-amine (V) and triethylorthoformate by means of acetic anhydride providing the nicotinoyl acrylate (VI). The cyclization of (VI) by means of K2CO3 in hot dioxane gives the 7-chloro-4-oxo-1-(2-thiazolyl)-1,4-dihydro-1,8-naphthyridine-3-carboxylic acid ethyl ester (VII), which is condensed with the chiral pyrrolidine (VIII) by means of triethylamine yielding the proteted intermediate (IX). Finally, this compound is deprotected and hydrolyzed with hot aqueous HCl.

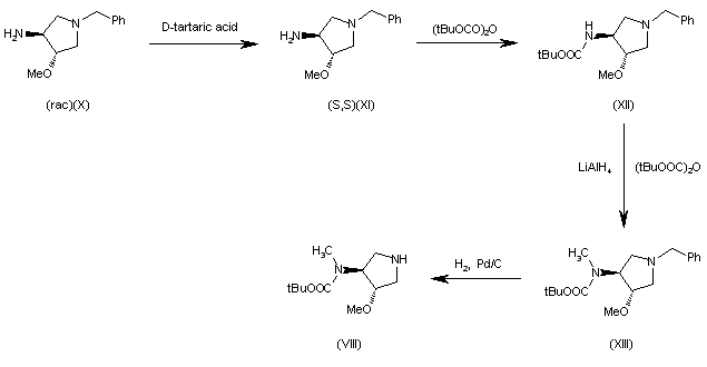
合成路线图解说明:

The chiral intermediate, the pyrrolidine (VIII) has been obtained as follows: The optical resolution of (trans)-3-amino-1-benzyl-4-methoxypyrroloidine (rac)-(X) with D-tartaric acid gives the enathiomer (S,S)(XI), which is treated with tert-butoxycarbonyl anhydride in methanol to yield the carbamate (XII). The reduction of (XII) with LiAlH4 in THF followed by reprotection with tert-butoxycarbonyl anhydride in dichloromethane affords (S,S)-1-benzyl-3-[N-(tert-butoxycarbonyl)-N-methylamino]-4-methoxypyrrolidine (XIII), which is finally debenzylated to the target compound (VIII) by hydrogenation with H2 over Pd/C in ethanol.

参考文献No.529179
标题:Synthesis and antitumor activity of novel 7-substituted 1,4-dihydro-4-oxo-1-(2-thiazolyl)-1,8-naphthyridine-3-carboxylic acids
作者:Tomita, K.; et al.
来源:217th ACS Natl Meet (March 21 1999, Anaheim) 1999,Abst MEDI 249
合成路线图解说明:

The reaction of 2,6-dichloropyridine (I) with BuLi and CO2 in THF gives 2,6-dichloropyridine-3-carboxylic acid (II) (1), which by reaction with refluxing SOCl2 yields the acyl chloride (III). The reaction of (III) with malonic ester by means of magnesium ethoxide in ethyl ether affords the nicotinoylacetic ester (IV), which is condensed with thiazol-2-amine (V) and triethylorthoformate by means of acetic anhydride providing the nicotinoyl acrylate (VI). The cyclization of (VI) by means of K2CO3 in hot dioxane gives the 7-chloro-4-oxo-1-(2-thiazolyl)-1,4-dihydro-1,8-naphthyridine-3-carboxylic acid ethyl ester (VII), which is condensed with the chiral pyrrolidine (VIII) by means of triethylamine yielding the proteted intermediate (IX). Finally, this compound is deprotected and hydrolyzed with hot aqueous HCl.

Drug Information Express,Drug R&D,Chemical Database,Patent Search.
Copyright © 2006-2026 Drug Future. All rights reserved.Contact Us