【药物名称】ER-40121
化学结构式(Chemical Structure):
参考文献No.29203
标题:Substd. thiazolo[3,2-alpha]azepine deriv.
作者:Oinuma, H.; Suda, S.; Yoneda, N.; Kotake, M.; Mizuno, M.; Matsuhima, T.; Fukuda, Y.; Saito, M.; Matsuoka, T.; Adachi, H.; Namiki, M.; Sudo, T.; Miyake, K.; Okita, M. (Eisai Co., Ltd.)
来源:EP 0719779; JP 1996027156; JP 1996059672; JP 1996165293; US 5789403; WO 9602549
合成路线图解说明:

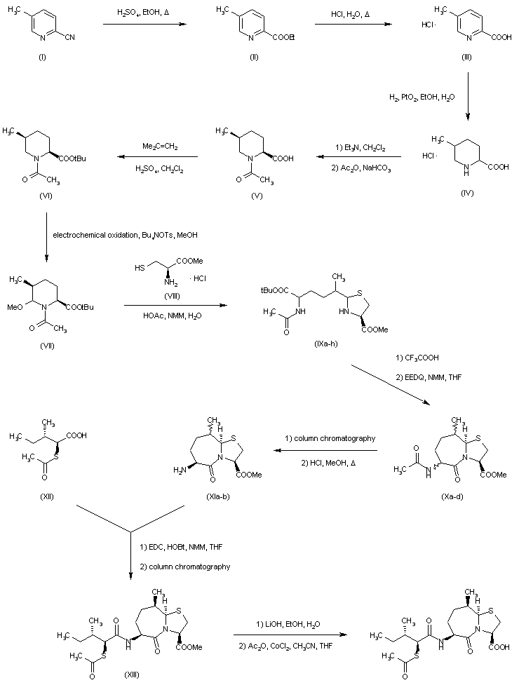
Treatment of 5-methylpyridine-2-carbonitrile (I) with ethanol and sulfuric acid gave ester (II), which was further hydrolyzed to carboxylic acid (III) using aqueous HCl. Hydrogenation of the pyridine ring of (III) over PtO2 yielded a 3:1 mixture of cis and trans piperidines as the corresponding hydrochloride salts (IV). Liberation of the free base by means of Et3N in a suspension in CH2Cl2 allowed the separation of the racemic cis isomer, which was N-acylated with Ac2O to give acetamide (V). Esterification of (V) with isobutylene in the presence of H2SO4 afforded the tert-butyl ester (VI). The electrochemical oxidation of (VI) in MeOH produced the 6-methoxy piperidine (VII). Ring opening of the piperidine (VII) with formation of the thiazolidine ring upon treatment with methyl L-cysteinate (VIII) generated the tert-butoxycarbonylbutyl thiazolidine (IXa-h) as a complex mixture of diastereoisomers. After cleavage of the tert-butyl ester of (IXa-h) with trifluoroacetic acid, cyclization using 2-ethoxy-1-ethoxycarbonyl-1,2-dihydroquinoline (EEDQ) gave rise to the thiazoloazepine bicyclic system (Xa-d). Column chromatography of the resulting diastereomeric mixture provided the (6S,9R) and (6S,9S) isomers in a 1:2 ratio. Hydrolysis of this mixture with methanolic HCl yielded the bicyclic amine (XIa-b). Coupling of (XIa-b) with (2S,3S)-2-acetylthio-3-methylpentanoic acid (XII) gave the corresponding mixture of amides, from which the desired isomer (XIII) was isolated by column chromatography. Finally, hydrolysis of methyl ester and tioacetate ester groups of (XIII) using LiOH gave rise to the title compound.

合成路线图解说明:

Treatment of 5-methylpyridine-2-carbonitrile (I) with ethanol and sulfuric acid gave ester (II), which was further hydrolyzed to carboxylic acid (III) using aqueous HCl. Hydrogenation of the pyridine ring of (III) over PtO2 yielded a 3:1 mixture of cis and trans piperidines as the corresponding hydrochloride salts (IVa-b). Liberation of the free base of (IVa-b) by means of Et3N in a suspension in CH2Cl2 allowed the separation of the racemic cis isomer, which was N-acylated with Ac2O to give acetamide (V). Esterification of (V) with isobutylene in the presence of H2SO4 afforded the tert-butyl ester (VI). The electrochemical oxidation of (VI) in MeOH produced the 6-methoxy piperidine (VII). Ring opening of the piperidine (VII) with formation of the thiazolidine ring upon treatment with methyl L-cysteinate (VIII) generated the tert-butoxycarbonylbutyl thiazolidine (IXa-h) as a complex mixture of diastereoisomers. After cleavage of the tert-butyl ester of (IXa-h) with trifluoroacetic acid, cyclization using 2-ethoxy-1-ethoxycarbonyl-1,2-dihydroquinoline (EEDQ) gave rise to the thiazoloazepine bicyclic system (Xa-d). Column chromatography of the resulting diastereomeric mixture provided the (6S,9R) and (6S,9S) isomers in a 1:2 ratio. Hydrolysis of this mixture with methanolic HCl yielded the bicyclic amine (XIa-b). Coupling of (XIa-b) with (2S,3S)-2-acetylthio-3-methylpentanoic acid (XII) gave the corresponding mixture of amides, from which the desired isomer (XIII) was isolated by column chromatography. Hydrolysis of methyl ester and thioacetate ester groups of (XIII) using LiOH, followed by S-acetylation with Ac2O in the presence of CoCl2 gave rise to the title compound.

参考文献No.561131
标题:Synthesis of a new dual metalloprotease inhibitor.II. Stereoselective synthesis of peptidomimetic [5.7]-bycyclic compounds
作者:Akasaka, K.; et al.
来源:Chem Pharm Bull 1999,47(11),1532
合成路线图解说明:

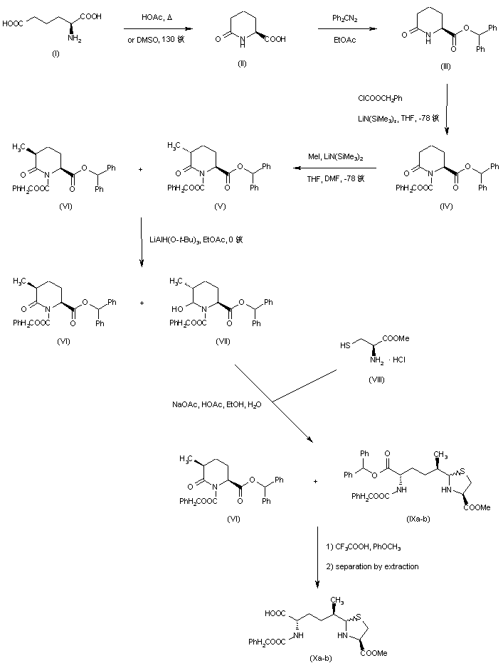
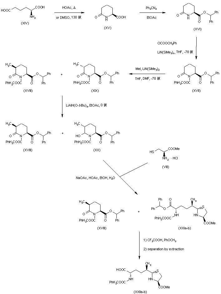
A new efficient process for the diastereoselective synthesis of the key intermediate (XXIV) has been reported. Cyclization of L-alpha-aminoadipic acid (XIV) in either refluxing AcOH or in DMSO at 130 C provided (S)-6-oxopipecolic acid (XV), which was converted to the benzhydryl ester (XVI) upon treatment with diphenyldiazomethane. Subsequent protection with benzyl chloroformate produced the N-benzyloxycarbonyl derivative (XVII). Methylation of (XVII) using iodomethane and lithium hexamethyldisilazide at -78 C furnished a 4:1 mixture of the desired trans compound (XIX) and the cis isomer (XVIII). The diastereomer specific reduction of the mixture (XVIII)/(XIX) with LiAlH(O-t-Bu)3 yielded the trans cyclic aminal (XX) along with the unreacted cis isomer (XVIII). Further condensation of aminal (XX) with methyl L-cysteinate.HCl (VIII) produced the required thiazolidine (XXI) as a diastereomeric mixture while leaving the unchanged lactam (XVIIIa-b). Then, acid cleavage of the benzhydryl esters allowed the separation of the HCl-soluble thiazolidine acid (XXIIa-b) from the ether-soluble cis lactam (XVIII).

合成路线图解说明:

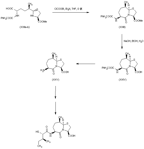
Cyclization of (XXIIa-b) employing ethyl chloroformate and triethylamine generated the thiazoloazepine (XXIII) as the major diastereoisomer. The methyl ester group of (XXIII) was then hydrolyzed with NaOH to provide the key intermediate (XXIV), which was finally converted to the title compound.

合成路线图解说明:

A new efficient process for the synthesis of the key intermediate (XII) has been reported. Cyclization of L-alpha-aminoadipic acid in either refluxing AcOH or in DMSO at 130 C provided (S)-6-oxopipecolic acid (II), which was converted to the benzhydryl ester (III) upon treatment with diphenyldiazomethane. Further protection of (III) with benzyl chloroformate produced the N-benzyloxycarbonyl derivative (IV). Methylation of (IV) using iodomethane and lithium hexamethyldisilazide at -78 C produced a 4:1 mixture of the desired trans compound (V) and the cis isomer (VI). The diastereomer specific reduction of the mixture (V+VI) with LiAlH(O-t-Bu)3 yielded the trans cyclic aminal (VII) along with the unreacted cis isomer (VI). Subsequent condensation of aminal (VII) with L-cysteine methyl ester - HCl (VIII) produced the required thiazolidine (IX) as a diastereomeric mixture while leaving the unchanged lactam (VI). Then, acid cleavage of the benzhydryl esters of (VI) and (IXa, IXb) allowed the separation of the HCl-soluble thiazolidine acid (Xa, Xb) from the ether-soluble cis lactam.

合成路线图解说明:

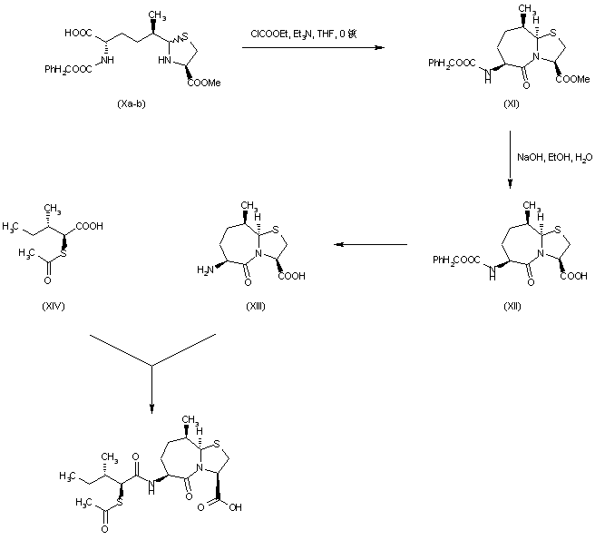
Cyclization of (Xa, Xb) employing ethyl chloroformate and triethylamine generated the thiazoloazepine (XI) as the major diastereoisomer. Further hydrolysis of the methyl ester of (XI) with NaOH provided the key intermediate (XII). Finally, conversion to the title compound was accomplished by deprotection of the carbobenzoxy group of (XII) yielding (XIII), followed by coupling with S,S-2-acetylthio-3-methylpentanoic acid (XIV).

参考文献No.563215
标题:Synthesis of a new dual metalloprotease inhibitor. I. Diastereoselective alkylation of protected 6-oxopipecolic acid esters
作者:Akasaka, K.; et al.
来源:Chem Pharm Bull 1999,47(11),1525
合成路线图解说明:

A new efficient process for the diastereoselective synthesis of the key intermediate (XXIV) has been reported. Cyclization of L-alpha-aminoadipic acid (XIV) in either refluxing AcOH or in DMSO at 130 C provided (S)-6-oxopipecolic acid (XV), which was converted to the benzhydryl ester (XVI) upon treatment with diphenyldiazomethane. Subsequent protection with benzyl chloroformate produced the N-benzyloxycarbonyl derivative (XVII). Methylation of (XVII) using iodomethane and lithium hexamethyldisilazide at -78 C furnished a 4:1 mixture of the desired trans compound (XIX) and the cis isomer (XVIII). The diastereomer specific reduction of the mixture (XVIII)/(XIX) with LiAlH(O-t-Bu)3 yielded the trans cyclic aminal (XX) along with the unreacted cis isomer (XVIII). Further condensation of aminal (XX) with methyl L-cysteinate.HCl (VIII) produced the required thiazolidine (XXI) as a diastereomeric mixture while leaving the unchanged lactam (XVIIIa-b). Then, acid cleavage of the benzhydryl esters allowed the separation of the HCl-soluble thiazolidine acid (XXIIa-b) from the ether-soluble cis lactam (XVIII).

合成路线图解说明:

A new efficient process for the synthesis of the key intermediate (XII) has been reported. Cyclization of L-alpha-aminoadipic acid in either refluxing AcOH or in DMSO at 130 C provided (S)-6-oxopipecolic acid (II), which was converted to the benzhydryl ester (III) upon treatment with diphenyldiazomethane. Further protection of (III) with benzyl chloroformate produced the N-benzyloxycarbonyl derivative (IV). Methylation of (IV) using iodomethane and lithium hexamethyldisilazide at -78 C produced a 4:1 mixture of the desired trans compound (V) and the cis isomer (VI). The diastereomer specific reduction of the mixture (V+VI) with LiAlH(O-t-Bu)3 yielded the trans cyclic aminal (VII) along with the unreacted cis isomer (VI). Subsequent condensation of aminal (VII) with L-cysteine methyl ester - HCl (VIII) produced the required thiazolidine (IX) as a diastereomeric mixture while leaving the unchanged lactam (VI). Then, acid cleavage of the benzhydryl esters of (VI) and (IXa, IXb) allowed the separation of the HCl-soluble thiazolidine acid (Xa, Xb) from the ether-soluble cis lactam.

参考文献No.572926
标题:Discovery of a novel and orally active dual inhibitor of NEP and ACE: Synthesis and pharmacology
作者:Oinuma, H.; Kotake, M.; Suda, S.; et al.
来源:217th ACS Natl Meet (March 21 1999, Anaheim) 2000,Abst MEDI 111
合成路线图解说明:

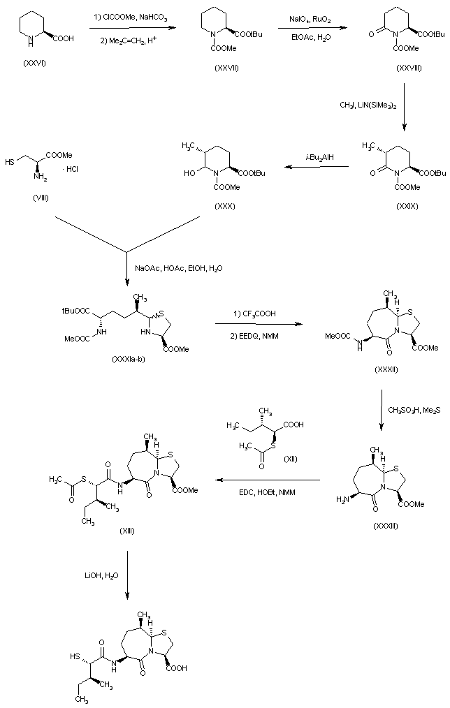
In a related method, L-pipecolic acid (XXVI) was protected as the methyl carbamate, followed by esterification with isobutylene to give (XXVII). Oxidation of (XXVII) with NaIO4 in the presence of RuO2 generated the 6-oxopipecolic acid derivative (XXVIII), which was subsequently methylated to yield (XXIX) as the major diastereoisomer. Reduction of (XXIX) with DIBAL afforded the cyclic aminal (XXX). Condensation of (XXX) with methyl L-cysteinate (VIII) gave thiazolidine (XXXIa-b). After tert-butyl ester cleavage in (XXXIa-b) with trifluoroacetic acid, cyclization by means of EEDQ produced the bicyclic system (XXXII). Deprotection of the methyl carbamate group of (XXXII) was carried out using methanesulfonic acid in the presence of dimethyl sulfide to afford amine (XXXIII). Coupling of (XXXIII) with (2S,3S)-2-acetylthio-3-methylpentanoic acid (XII) gave the corresponding mixture of amides, from which the desired isomer (XIII) was isolated by column chromatography. Finally, hydrolysis of methyl ester and tioacetate ester groups of (XIII) using LiOH gave rise to the title compound.

合成路线图解说明:

In a related method, L-pipecolic acid (XIV) was protected as the methyl carbamate, followed by esterification with isobutylene to give (XV). Oxidation of (XV) with NaIO4 in the presence of RuO2 generated the 6-oxopipecolic acid derivative (XVI), which was subsequently methylated to yield (XVII) as the major diastereoisomer. Reduction of (XVII) with DIBAL afforded the cyclic aminal (XVIII). Condensation of (XVIII) with methyl L-cysteinate (VIII) gave thiazolidine (XIXa-b). After tert-butyl ester cleavage in (XIXa-b) with trifluoroacetic acid, cyclization by means of EEDQ produced the bicyclic system (XX). Deprotection of the methyl carbamate group of (XX) was carried out using methanesulfonic acid in the presence of dimethyl sulfide to afford amine (XXI). Coupling of (XXI) with (2S,3S)-2-acetylthio-3-methylpentanoic acid (XII) gave the corresponding mixture of amides, from which the desired isomer (XIII) was isolated by column chromatography. Hydrolysis of methyl ester and thioacetate ester groups of (XIII) using LiOH, followed by S-acetylation with Ac2O in the presence of CoCl2 gave rise to the title compound.

Drug Information Express,Drug R&D,Chemical Database,Patent Search.
Copyright © 2006-2026 Drug Future. All rights reserved.Contact Us